🇳🇴 🇬🇧 🇩🇪 🇨🇿 🇫🇮

Meteor, poloha: Myre 2023-12-14 17:45:45 UTC

Soubor KML  |  InteraktivnĂ­ mapa

Mapa zobrazuje dráhy meteoru. Světlejší čáry ukazují směry od pozorovacích stanic při objevení se meteoru a tmavší čáry, kde byl naposledy viděn. Modrá šipka značí viditelnou dráhu meteoru.

static map
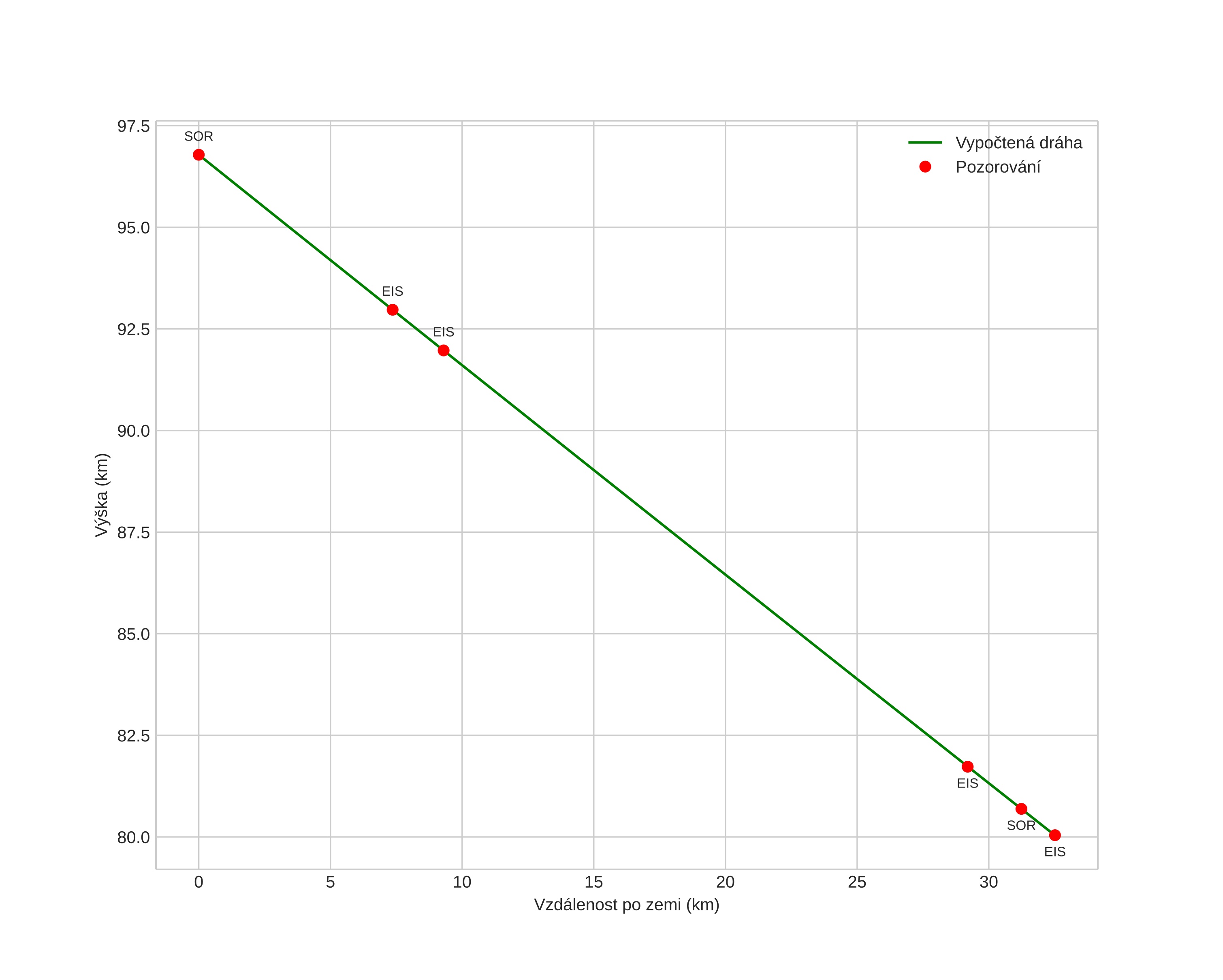
height profile
Atmosférická dráha meteoru:
Počáteční výška: 95,8 km
Konečná výška: 79,9 km
Počáteční poloha: 69,213N 15,467E
Konečná poloha: 69,067N 14,736E
Směr: 241,0°
Sklon: 25,6°
VstupnĂ­ rychlost: 36,7 km/s
Rektascenze radiantu: 07:33 (113,3°)
Deklinace radiantu: 32,6°
MeteorickĂ˝ roj: Geminidy
Elementy dráhy meteoroidu:
Vzdálenost v periheliu: 0,142 AU
Excentricita: 0,900
Sklon dráhy: 24,4°
Délka vzestupného uzlu: 262,1°
Argument perihelia: 323,7°
Střední anomálie: 338,5°
Epocha: 2023 DEC 14 17:45:45
orbit plot

NeinteraktivnĂ­ graf | InteraktivnĂ­ graf

position vs time
speed and acceleration