🇳🇴 🇬🇧 🇩🇪 🇨🇿 🇫🇮

Meteor Myren yllä 2023-12-14 17:45:45 UTC

KML-tiedosto  |  Interaktiivinen kartta

Kartta näyttää meteorin suuntahavainnot. Vaaleammat viivat näyttävät suunnat havaintoasemilta meteorin ilmestyessä, ja tummemmat viivat näyttävät, missä se viimeksi nähtiin. Sininen nuoli näyttää meteorin näkyvän lennon.

static map
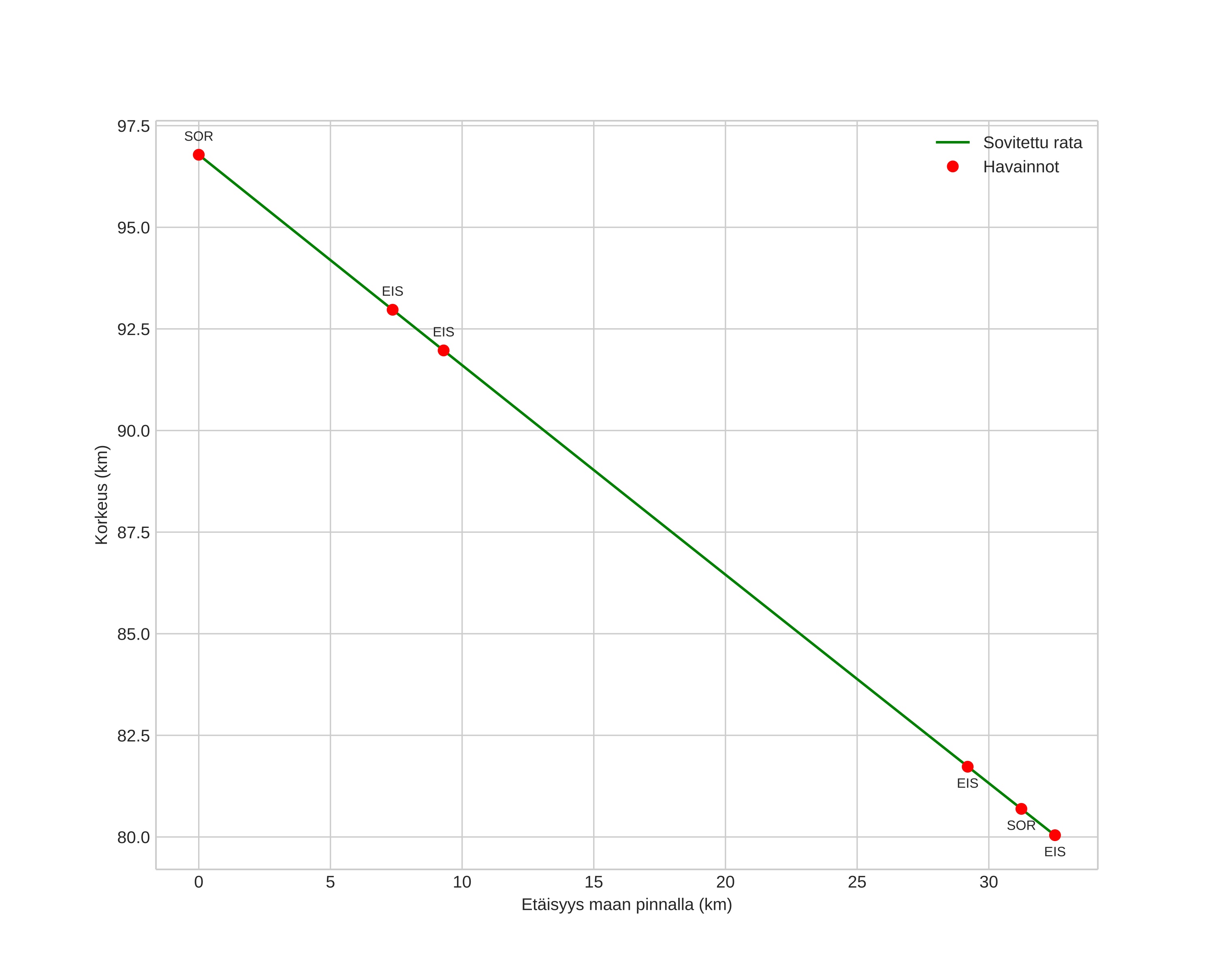
height profile
Meteorin ilmakehärata:
Alkukorkeus: 95,8 km
Loppukorkeus: 79,9 km
Alkupiste: 69,213N 15,467E
Loppupiste: 69,067N 14,736E
Suunta: 241,0°
Kallistuskulma: 25,6°
Tulonopeus: 36,7 km/s
Radiantin R,A,: 07:33 (113,3°)
Radiantin Dekl,: 32,6°
Meteoriparvi: Geminidit
Meteoroidin rataelementit:
Perihelietäisyys: 0,142 AU
Eksentrisyys: 0,900
Inklinaatio: 24,4°
Nousevan solmun pituus: 262,1°
Perihelin argumentti: 323,7°
Keskianomalia: 338,5°
Epookki: 2023 DEC 14 17:45:45
orbit plot

Ei-interaktiivinen kuvaaja | Interaktiivinen kuvaaja

position vs time
speed and acceleration