🇳🇴 🇬🇧 🇩🇪 🇨🇿 🇫🇮

Meteor, poloha: Ramberg 2023-12-14 17:57:21 UTC

Soubor KML  |  InteraktivnĂ­ mapa

Mapa zobrazuje dráhy meteoru. Světlejší čáry ukazují směry od pozorovacích stanic při objevení se meteoru a tmavší čáry, kde byl naposledy viděn. Modrá šipka značí viditelnou dráhu meteoru.

static map
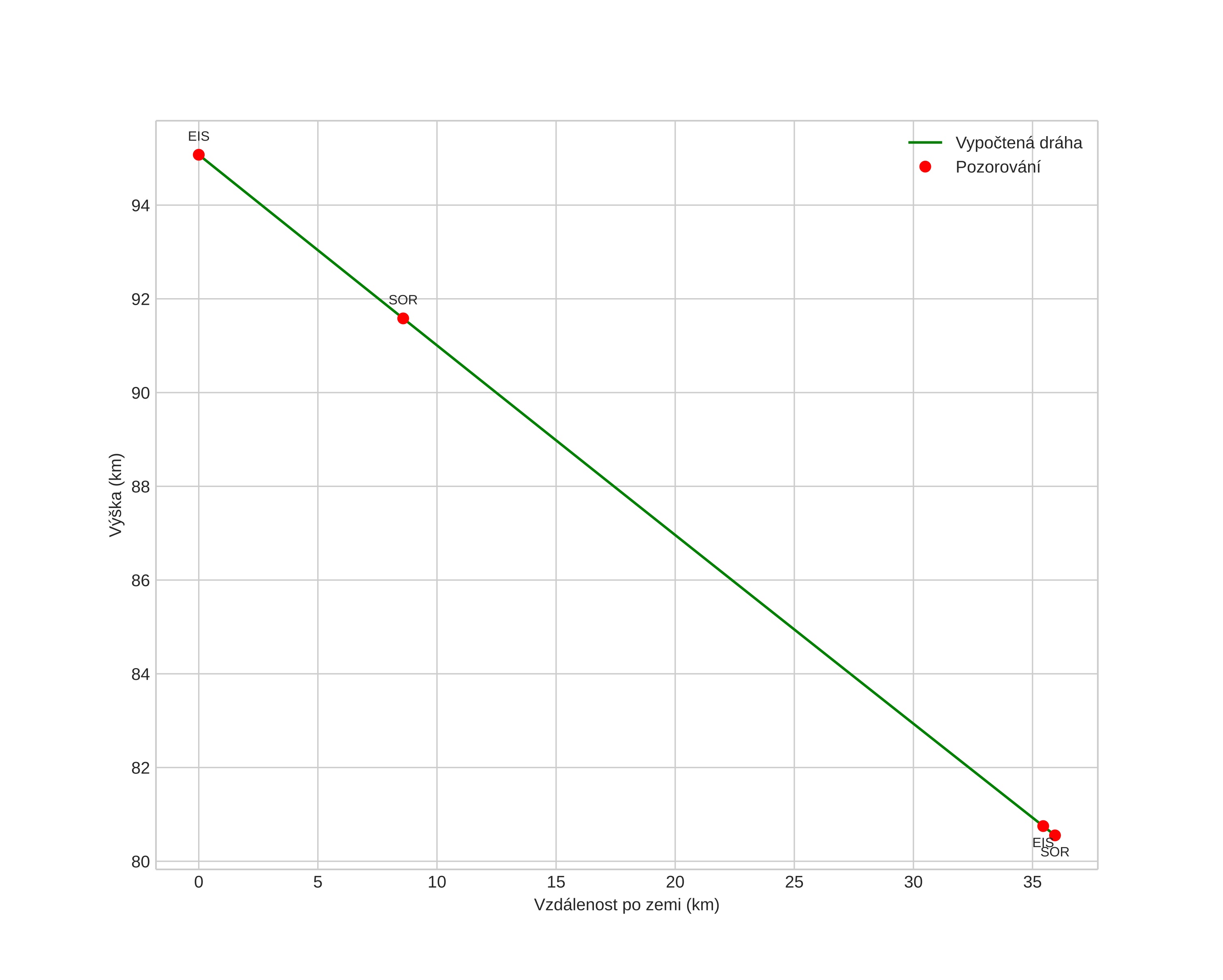
height profile
Atmosférická dráha meteoru:
Počáteční výška: 92,3 km
Konečná výška: 80,6 km
Počáteční poloha: 69,339N 13,021E
Konečná poloha: 69,219N 12,356E
Směr: 243,3°
Sklon: 21,7°
VstupnĂ­ rychlost: 37,8 km/s
Rektascenze radiantu: 07:32 (113,2°)
Deklinace radiantu: 28,1°
MeteorickĂ˝ roj: Geminidy
Elementy dráhy meteoroidu:
Vzdálenost v periheliu: 0,109 AU
Excentricita: 0,925
Sklon dráhy: 16,6°
Délka vzestupného uzlu: 262,1°
Argument perihelia: 328,3°
Střední anomálie: 340,2°
Epocha: 2023 DEC 14 17:57:21
orbit plot

NeinteraktivnĂ­ graf | InteraktivnĂ­ graf

position vs time
speed and acceleration