🇳🇴 🇬🇧 🇩🇪 🇨🇿 🇫🇮

Meteor Rambergin yllä 2023-12-14 17:57:21 UTC

KML-tiedosto  |  Interaktiivinen kartta

Kartta näyttää meteorin suuntahavainnot. Vaaleammat viivat näyttävät suunnat havaintoasemilta meteorin ilmestyessä, ja tummemmat viivat näyttävät, missä se viimeksi nähtiin. Sininen nuoli näyttää meteorin näkyvän lennon.

static map
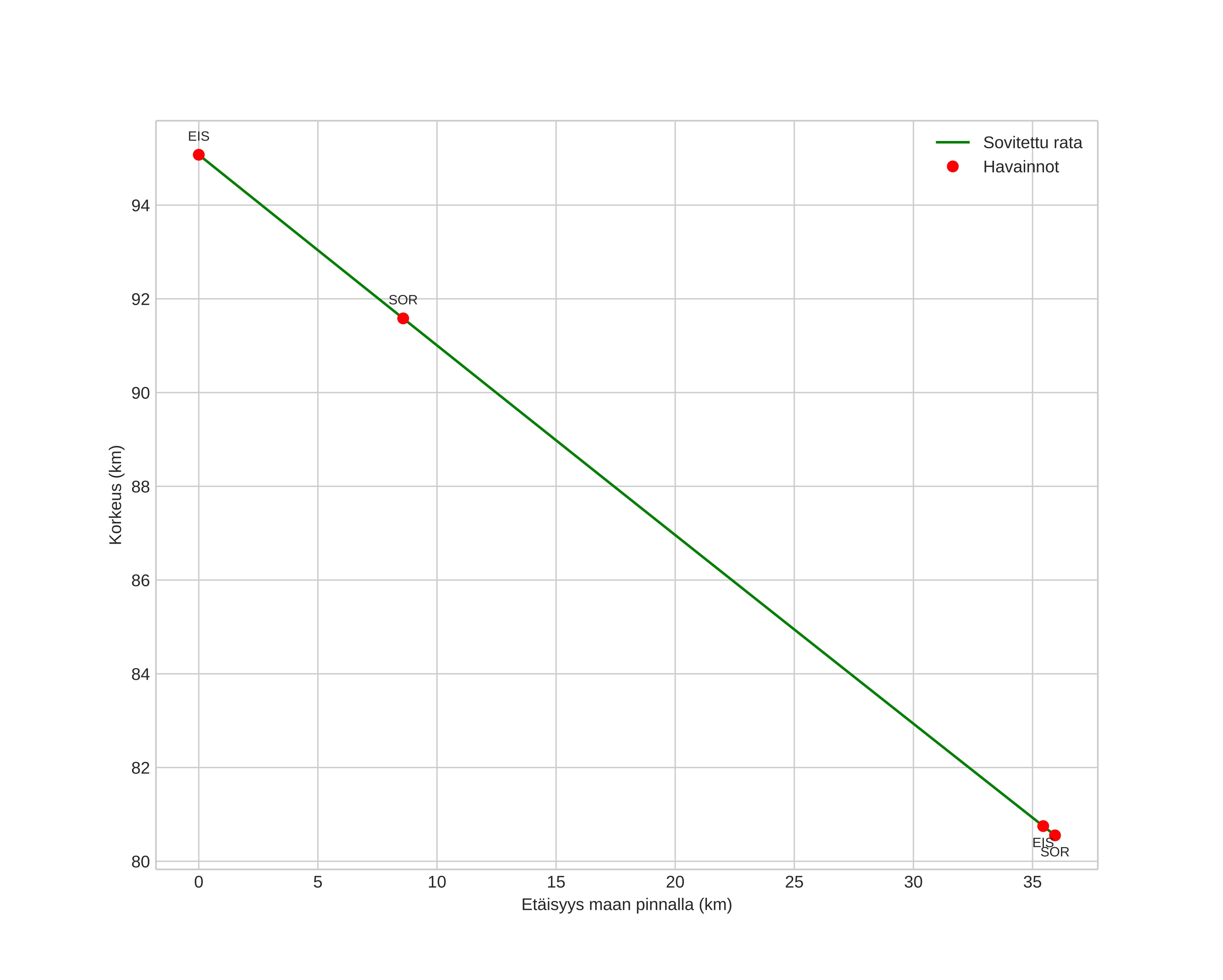
height profile
Meteorin ilmakehärata:
Alkukorkeus: 92,3 km
Loppukorkeus: 80,6 km
Alkupiste: 69,339N 13,021E
Loppupiste: 69,219N 12,356E
Suunta: 243,3°
Kallistuskulma: 21,7°
Tulonopeus: 37,8 km/s
Radiantin R,A,: 07:32 (113,2°)
Radiantin Dekl,: 28,1°
Meteoriparvi: Geminidit
Meteoroidin rataelementit:
Perihelietäisyys: 0,109 AU
Eksentrisyys: 0,925
Inklinaatio: 16,6°
Nousevan solmun pituus: 262,1°
Perihelin argumentti: 328,3°
Keskianomalia: 340,2°
Epookki: 2023 DEC 14 17:57:21
orbit plot

Ei-interaktiivinen kuvaaja | Interaktiivinen kuvaaja

position vs time
speed and acceleration