🇳🇴 🇬🇧 🇩🇪 🇨🇿 🇫🇮

Meteor, poloha: Lødingen 2023-12-14 18:00:24 UTC

Soubor KML  |  InteraktivnĂ­ mapa

Mapa zobrazuje dráhy meteoru. Světlejší čáry ukazují směry od pozorovacích stanic při objevení se meteoru a tmavší čáry, kde byl naposledy viděn. Modrá šipka značí viditelnou dráhu meteoru.

static map
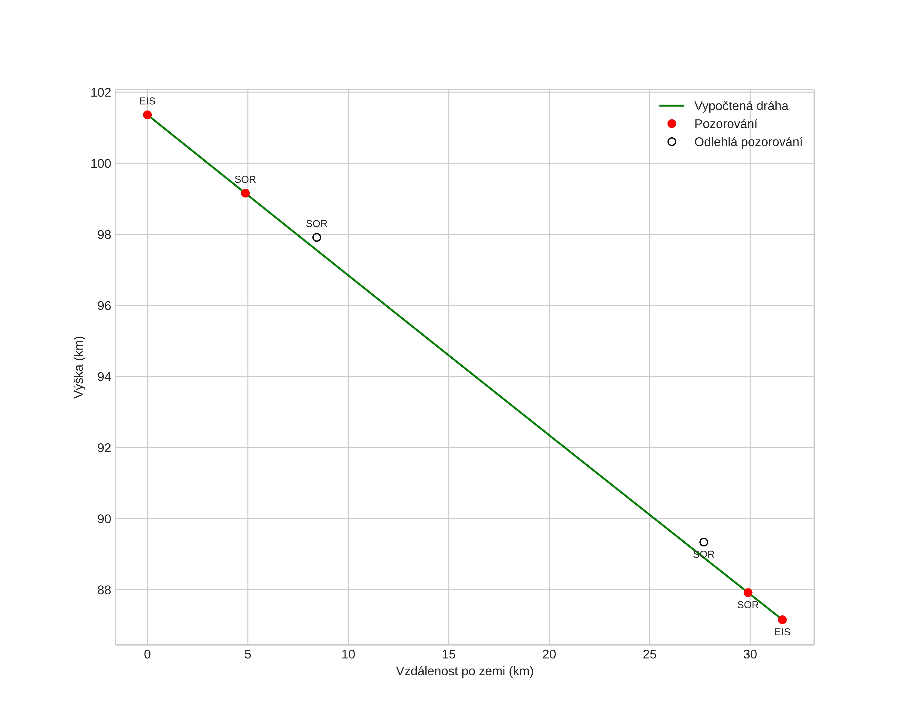
height profile
Atmosférická dráha meteoru:
Počáteční výška: 97,4 km
Konečná výška: 82,0 km
Počáteční poloha: 68,475N 16,465E
Konečná poloha: 68,386N 15,911E
Směr: 246,5°
Sklon: 31,9°
VstupnĂ­ rychlost: 36,7 km/s
Rektascenze radiantu: 07:15 (108,9°)
Deklinace radiantu: 36,8°
MeteorickĂ˝ roj: Geminidy
Elementy dráhy meteoroidu:
Vzdálenost v periheliu: 0,208 AU
Excentricita: 0,890
Sklon dráhy: 27,2°
Délka vzestupného uzlu: 262,1°
Argument perihelia: 312,5°
Střední anomálie: 345,5°
Epocha: 2023 DEC 14 18:00:24
orbit plot

NeinteraktivnĂ­ graf | InteraktivnĂ­ graf

position vs time
speed and acceleration