🇳🇴 🇬🇧 🇩🇪 🇨🇿 🇫🇮

Meteor Lødingenin yllä 2023-12-14 18:00:24 UTC

KML-tiedosto  |  Interaktiivinen kartta

Kartta näyttää meteorin suuntahavainnot. Vaaleammat viivat näyttävät suunnat havaintoasemilta meteorin ilmestyessä, ja tummemmat viivat näyttävät, missä se viimeksi nähtiin. Sininen nuoli näyttää meteorin näkyvän lennon.

static map
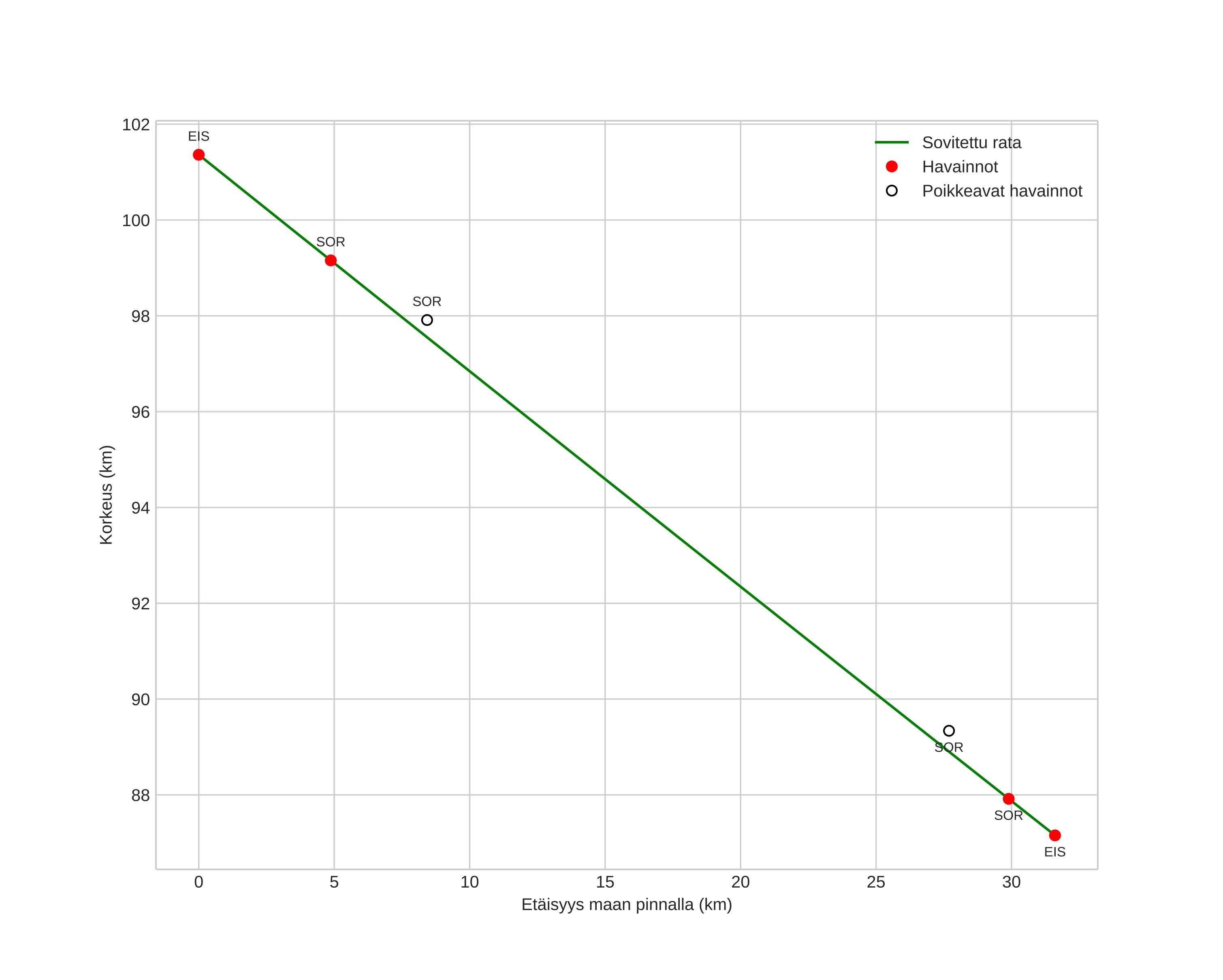
height profile
Meteorin ilmakehärata:
Alkukorkeus: 97,4 km
Loppukorkeus: 82,0 km
Alkupiste: 68,475N 16,465E
Loppupiste: 68,386N 15,911E
Suunta: 246,5°
Kallistuskulma: 31,9°
Tulonopeus: 36,7 km/s
Radiantin R,A,: 07:15 (108,9°)
Radiantin Dekl,: 36,8°
Meteoriparvi: Geminidit
Meteoroidin rataelementit:
Perihelietäisyys: 0,208 AU
Eksentrisyys: 0,890
Inklinaatio: 27,2°
Nousevan solmun pituus: 262,1°
Perihelin argumentti: 312,5°
Keskianomalia: 345,5°
Epookki: 2023 DEC 14 18:00:24
orbit plot

Ei-interaktiivinen kuvaaja | Interaktiivinen kuvaaja

position vs time
speed and acceleration