🇳🇴 🇬🇧 🇩🇪 🇨🇿 🇫🇮

Meteor, poloha: Straume 2023-12-14 18:46:46 UTC

Soubor KML  |  InteraktivnĂ­ mapa

Mapa zobrazuje dráhy meteoru. Světlejší čáry ukazují směry od pozorovacích stanic při objevení se meteoru a tmavší čáry, kde byl naposledy viděn. Modrá šipka značí viditelnou dráhu meteoru.

static map
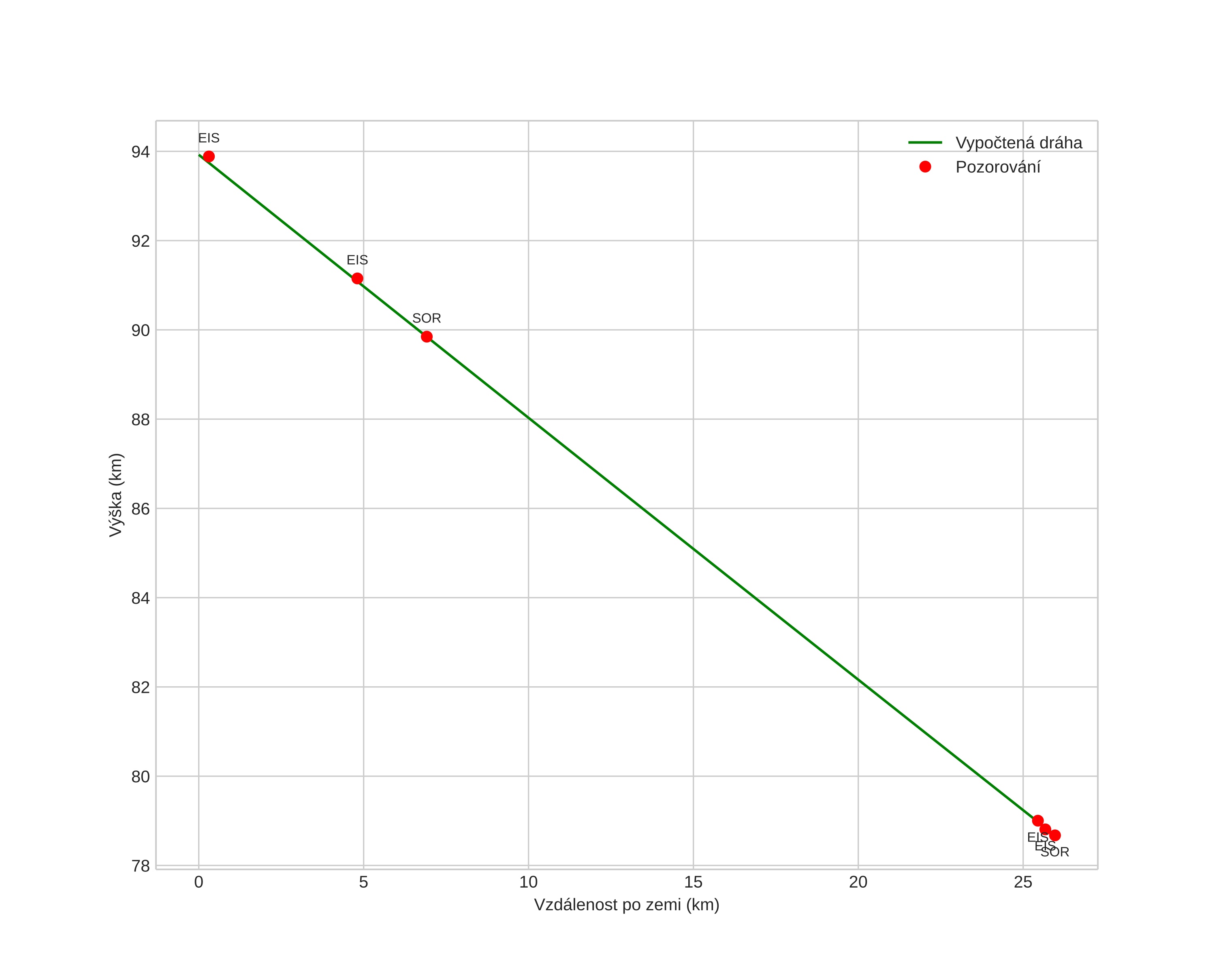
height profile
Atmosférická dráha meteoru:
Počáteční výška: 94,9 km
Konečná výška: 79,0 km
Počáteční poloha: 69,431N 15,021E
Konečná poloha: 69,366N 14,412E
Směr: 253,4°
Sklon: 32,6°
VstupnĂ­ rychlost: 34,8 km/s
Rektascenze radiantu: 07:31 (112,8°)
Deklinace radiantu: 34,7°
MeteorickĂ˝ roj: Geminidy
Elementy dráhy meteoroidu:
Vzdálenost v periheliu: 0,177 AU
Excentricita: 0,866
Sklon dráhy: 24,7°
Délka vzestupného uzlu: 262,2°
Argument perihelia: 320,2°
Střední anomálie: 334,3°
Epocha: 2023 DEC 14 18:46:46
orbit plot

NeinteraktivnĂ­ graf | InteraktivnĂ­ graf

position vs time
speed and acceleration