🇳🇴 🇬🇧 🇩🇪 🇨🇿 🇫🇮

Meteor Straumen yllä 2023-12-14 18:46:46 UTC

KML-tiedosto  |  Interaktiivinen kartta

Kartta näyttää meteorin suuntahavainnot. Vaaleammat viivat näyttävät suunnat havaintoasemilta meteorin ilmestyessä, ja tummemmat viivat näyttävät, missä se viimeksi nähtiin. Sininen nuoli näyttää meteorin näkyvän lennon.

static map
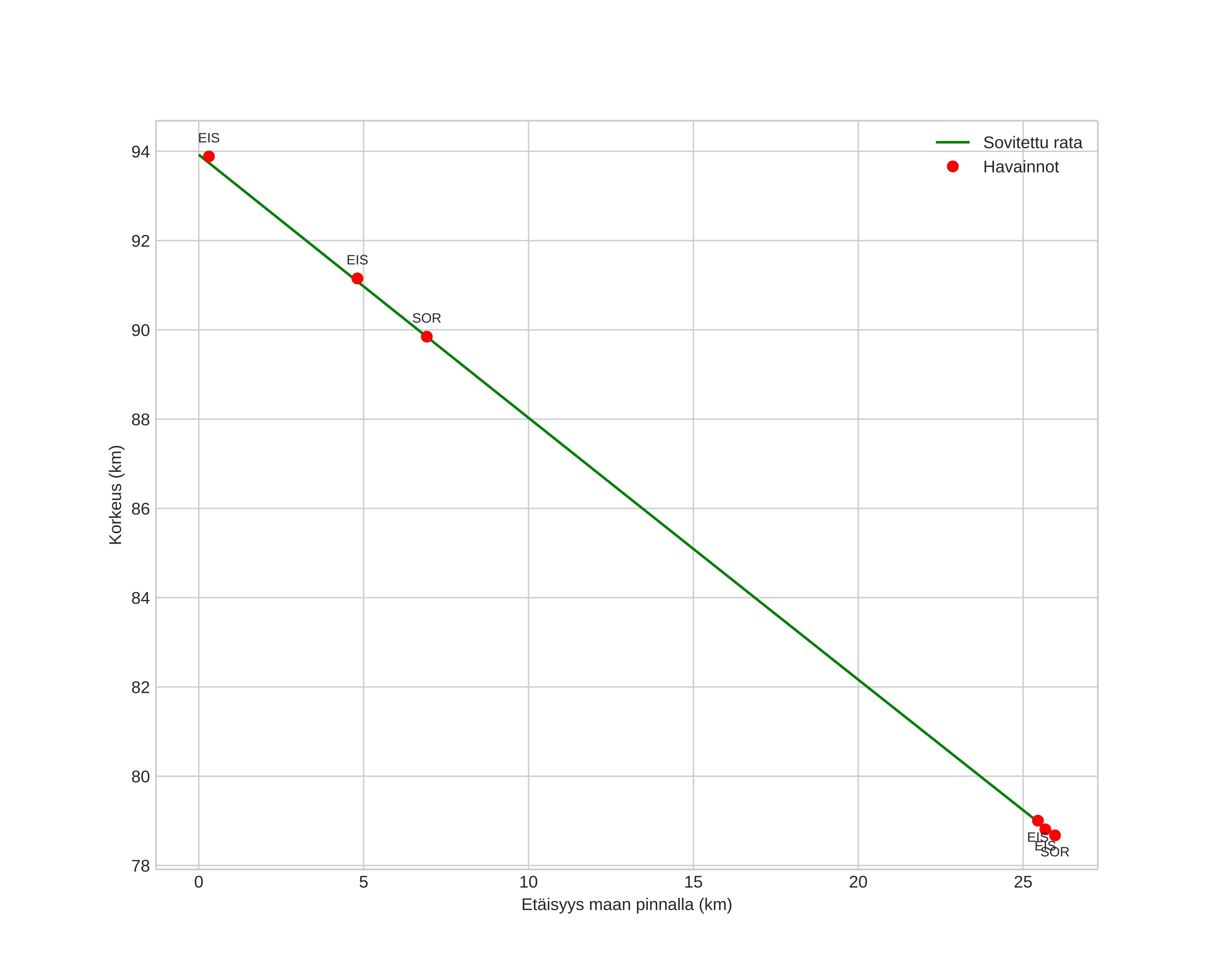
height profile
Meteorin ilmakehärata:
Alkukorkeus: 94,9 km
Loppukorkeus: 79,0 km
Alkupiste: 69,431N 15,021E
Loppupiste: 69,366N 14,412E
Suunta: 253,4°
Kallistuskulma: 32,6°
Tulonopeus: 34,8 km/s
Radiantin R,A,: 07:31 (112,8°)
Radiantin Dekl,: 34,7°
Meteoriparvi: Geminidit
Meteoroidin rataelementit:
Perihelietäisyys: 0,177 AU
Eksentrisyys: 0,866
Inklinaatio: 24,7°
Nousevan solmun pituus: 262,2°
Perihelin argumentti: 320,2°
Keskianomalia: 334,3°
Epookki: 2023 DEC 14 18:46:46
orbit plot

Ei-interaktiivinen kuvaaja | Interaktiivinen kuvaaja

position vs time
speed and acceleration