🇳🇴 🇬🇧 🇩🇪 🇨🇿 🇫🇮

Meteor, poloha: Lyngseidet 2023-12-14 18:47:58 UTC

Soubor KML  |  InteraktivnĂ­ mapa

Mapa zobrazuje dráhy meteoru. Světlejší čáry ukazují směry od pozorovacích stanic při objevení se meteoru a tmavší čáry, kde byl naposledy viděn. Modrá šipka značí viditelnou dráhu meteoru.

static map
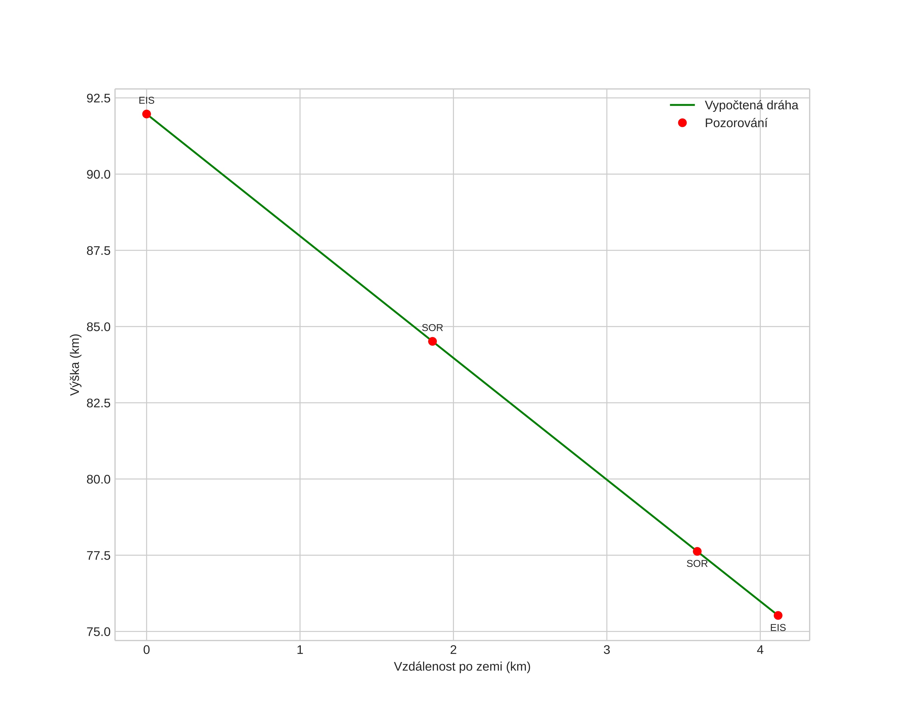
height profile
Atmosférická dráha meteoru:
Počáteční výška: 89,7 km
Konečná výška: 72,4 km
Počáteční poloha: 70,027N 20,191E
Konečná poloha: 70,067N 20,132E
Směr: 333,2°
Sklon: 74,1°
VstupnĂ­ rychlost: 19,3 km/s
Rektascenze radiantu: 02:28 (37,2°)
Deklinace radiantu: 53,5°
MeteorickĂ˝ roj: sporadickĂ˝
Elementy dráhy meteoroidu:
Vzdálenost v periheliu: 0,886 AU
Excentricita: 0,731
Sklon dráhy: 14,5°
Délka vzestupného uzlu: 262,2°
Argument perihelia: 220,2°
Střední anomálie: 355,4°
Epocha: 2023 DEC 14 18:47:58
orbit plot

NeinteraktivnĂ­ graf | InteraktivnĂ­ graf

position vs time
speed and acceleration