🇳🇴 🇬🇧 🇩🇪 🇨🇿 🇫🇮

Meteor Lyngseidetin yllä 2023-12-14 18:47:58 UTC

KML-tiedosto  |  Interaktiivinen kartta

Kartta näyttää meteorin suuntahavainnot. Vaaleammat viivat näyttävät suunnat havaintoasemilta meteorin ilmestyessä, ja tummemmat viivat näyttävät, missä se viimeksi nähtiin. Sininen nuoli näyttää meteorin näkyvän lennon.

static map
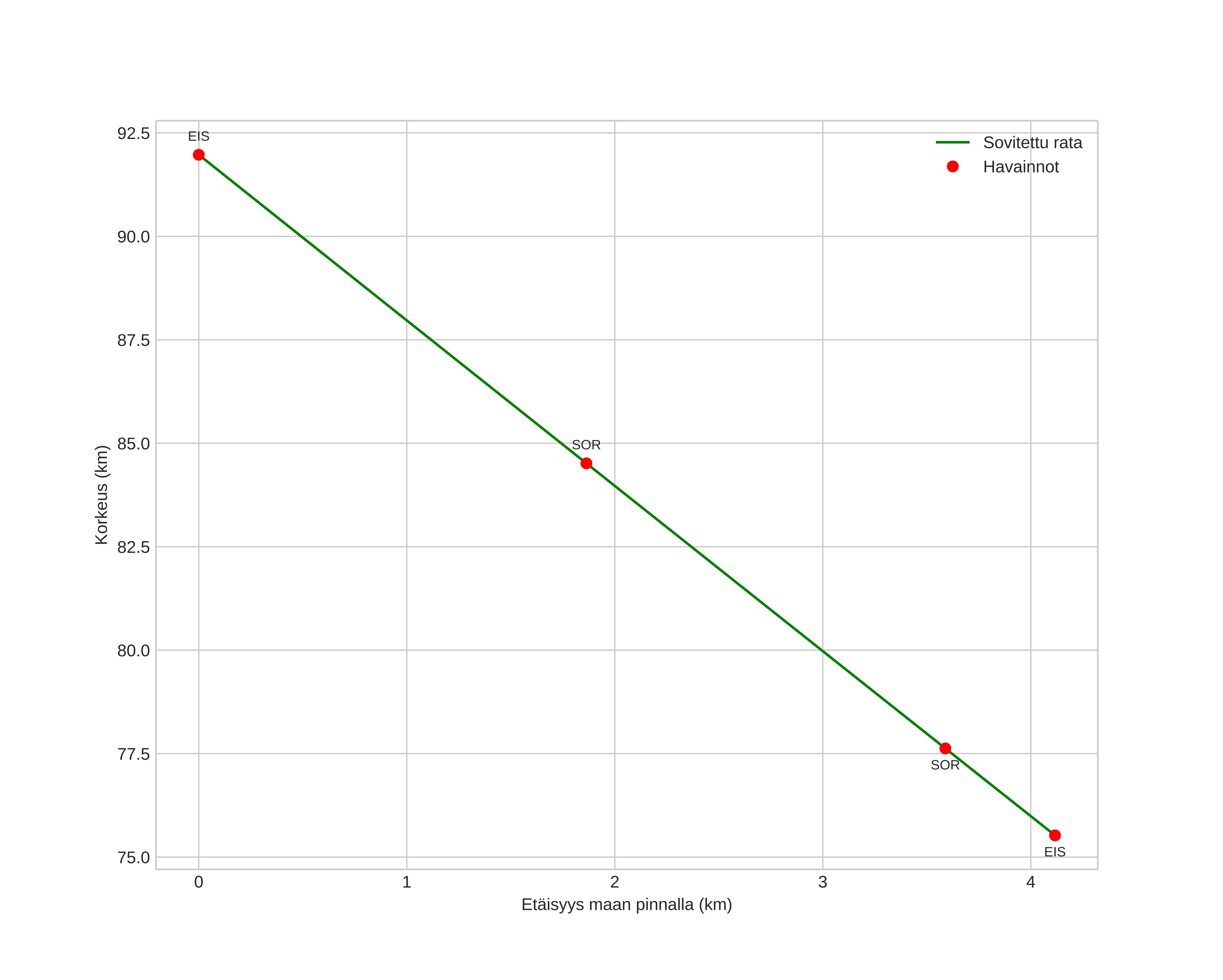
height profile
Meteorin ilmakehärata:
Alkukorkeus: 89,7 km
Loppukorkeus: 72,4 km
Alkupiste: 70,027N 20,191E
Loppupiste: 70,067N 20,132E
Suunta: 333,2°
Kallistuskulma: 74,1°
Tulonopeus: 19,3 km/s
Radiantin R,A,: 02:28 (37,2°)
Radiantin Dekl,: 53,5°
Meteoriparvi: Sporadinen
Meteoroidin rataelementit:
Perihelietäisyys: 0,886 AU
Eksentrisyys: 0,731
Inklinaatio: 14,5°
Nousevan solmun pituus: 262,2°
Perihelin argumentti: 220,2°
Keskianomalia: 355,4°
Epookki: 2023 DEC 14 18:47:58
orbit plot

Ei-interaktiivinen kuvaaja | Interaktiivinen kuvaaja

position vs time
speed and acceleration