🇳🇴 🇬🇧 🇩🇪 🇨🇿 🇫🇮

Meteor, poloha: Myre 2023-12-14 18:56:49 UTC

Soubor KML  |  InteraktivnĂ­ mapa

Mapa zobrazuje dráhy meteoru. Světlejší čáry ukazují směry od pozorovacích stanic při objevení se meteoru a tmavší čáry, kde byl naposledy viděn. Modrá šipka značí viditelnou dráhu meteoru.

static map
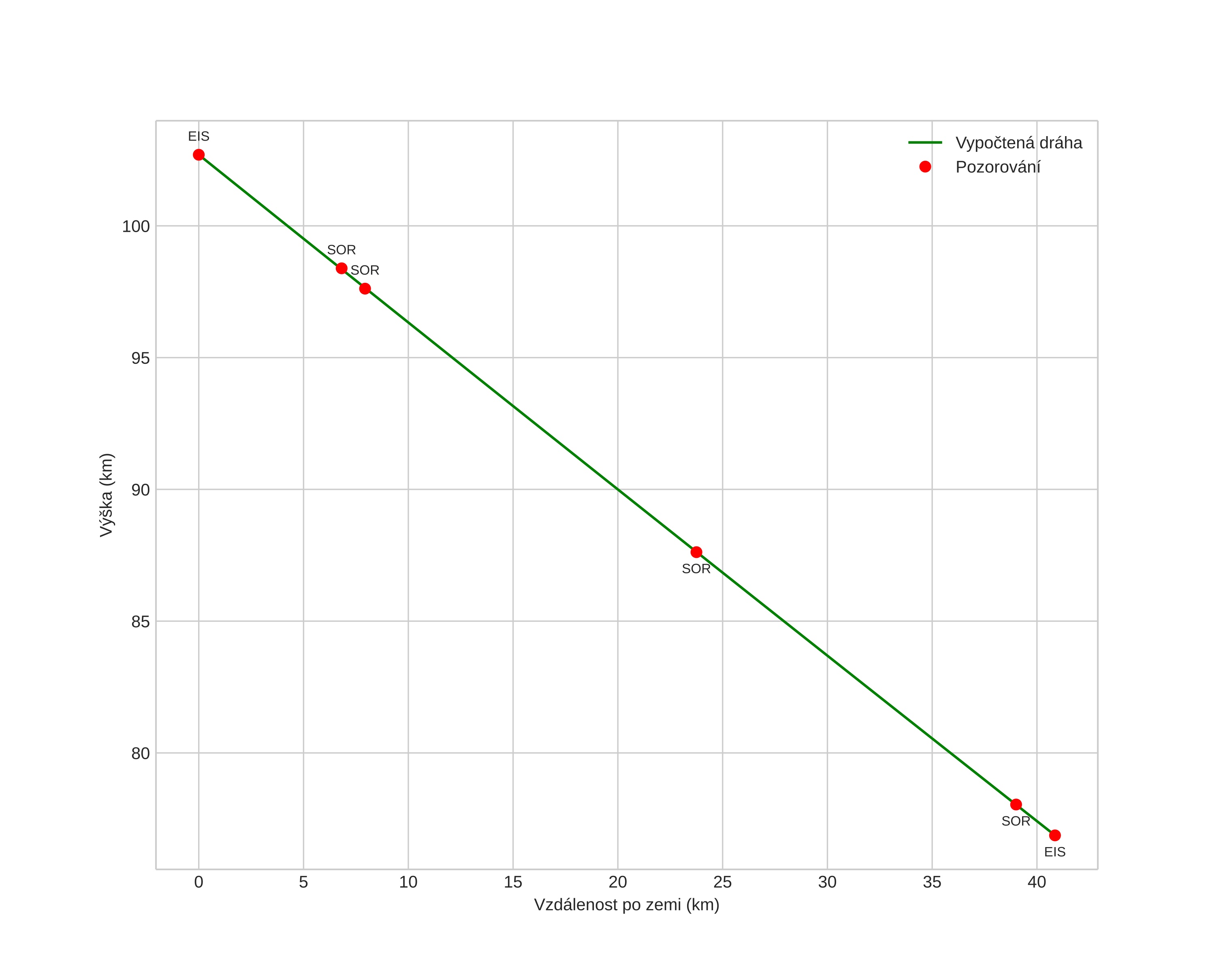
height profile
Atmosférická dráha meteoru:
Počáteční výška: 102,5 km
Konečná výška: 75,8 km
Počáteční poloha: 69,274N 16,148E
Konečná poloha: 69,186N 15,169E
Směr: 256,3°
Sklon: 33,8°
VstupnĂ­ rychlost: 35,7 km/s
Rektascenze radiantu: 07:31 (112,9°)
Deklinace radiantu: 35,0°
MeteorickĂ˝ roj: Geminidy
Elementy dráhy meteoroidu:
Vzdálenost v periheliu: 0,171 AU
Excentricita: 0,877
Sklon dráhy: 26,4°
Délka vzestupného uzlu: 262,2°
Argument perihelia: 320,2°
Střední anomálie: 336,9°
Epocha: 2023 DEC 14 18:56:49
orbit plot

NeinteraktivnĂ­ graf | InteraktivnĂ­ graf

position vs time
speed and acceleration