🇳🇴 🇬🇧 🇩🇪 🇨🇿 🇫🇮

Meteor Myren yllä 2023-12-14 18:56:49 UTC

KML-tiedosto  |  Interaktiivinen kartta

Kartta näyttää meteorin suuntahavainnot. Vaaleammat viivat näyttävät suunnat havaintoasemilta meteorin ilmestyessä, ja tummemmat viivat näyttävät, missä se viimeksi nähtiin. Sininen nuoli näyttää meteorin näkyvän lennon.

static map
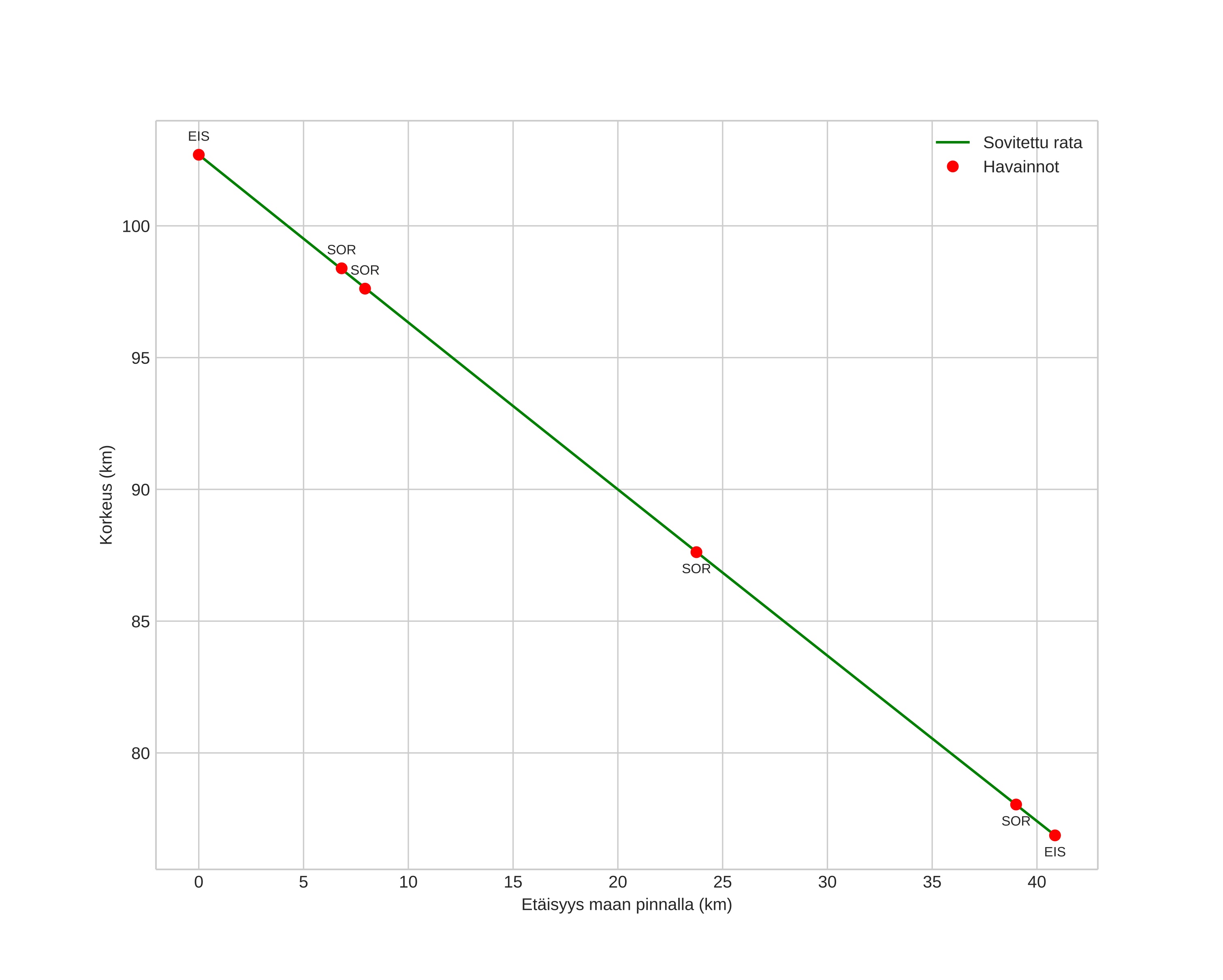
height profile
Meteorin ilmakehärata:
Alkukorkeus: 102,5 km
Loppukorkeus: 75,8 km
Alkupiste: 69,274N 16,148E
Loppupiste: 69,186N 15,169E
Suunta: 256,3°
Kallistuskulma: 33,8°
Tulonopeus: 35,7 km/s
Radiantin R,A,: 07:31 (112,9°)
Radiantin Dekl,: 35,0°
Meteoriparvi: Geminidit
Meteoroidin rataelementit:
Perihelietäisyys: 0,171 AU
Eksentrisyys: 0,877
Inklinaatio: 26,4°
Nousevan solmun pituus: 262,2°
Perihelin argumentti: 320,2°
Keskianomalia: 336,9°
Epookki: 2023 DEC 14 18:56:49
orbit plot

Ei-interaktiivinen kuvaaja | Interaktiivinen kuvaaja

position vs time
speed and acceleration