🇳🇴 🇬🇧 🇩🇪 🇨🇿

Meteor, poloha: Kiruna 2023-12-14 19:10:57 UTC

Mapa zobrazuje dráhy meteoru. Světlejší čáry ukazují směry od pozorovacích stanic při objevení se meteoru a tmavší čáry, kde byl naposledy viděn. Modrá šipka značí viditelnou dráhu meteoru.

map

NeinteraktivnĂ­ mapa | Soubor KML

height profile
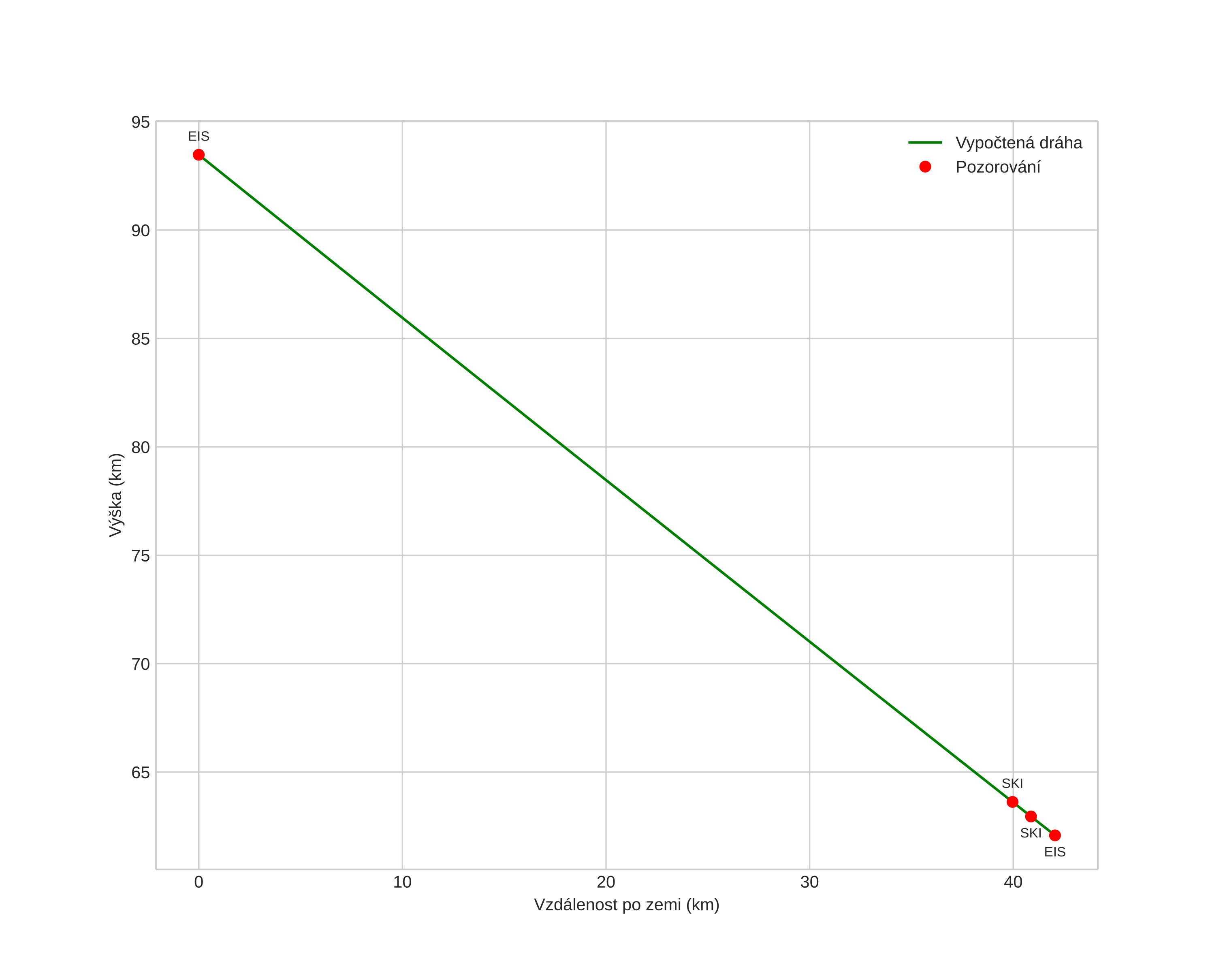
Atmosférická dráha meteoru:
Počáteční výška: 95,7 km
Konečná výška: 69,8 km
Počáteční poloha: 68,390N 21,418E
Konečná poloha: 68,374N 20,517E
Směr: 267,5°
Sklon: 35,0°
VstupnĂ­ rychlost: 39,8 km/s
Rektascenze radiantu: 07:20 (110,1°)
Deklinace radiantu: 32,2°
MeteorickĂ˝ roj: geminidene
Elementy dráhy meteoroidu:
Vzdálenost v periheliu: 0,142 AU
Excentricita: 0,939
Sklon dráhy: 24,5°
Délka vzestupného uzlu: 262,2°
Argument perihelia: 320,2°
Střední anomálie: 350,3°
Epocha: 2023 DEC 14 19:10:57
orbit plot

NeinteraktivnĂ­ graf

position vs time
speed and acceleration