🇳🇴 🇬🇧 🇩🇪 🇨🇿 🇫🇮

Meteor Kirunan yllä 2023-12-14 19:10:57 UTC

KML-tiedosto  |  Interaktiivinen kartta

Kartta näyttää meteorin suuntahavainnot. Vaaleammat viivat näyttävät suunnat havaintoasemilta meteorin ilmestyessä, ja tummemmat viivat näyttävät, missä se viimeksi nähtiin. Sininen nuoli näyttää meteorin näkyvän lennon.

static map
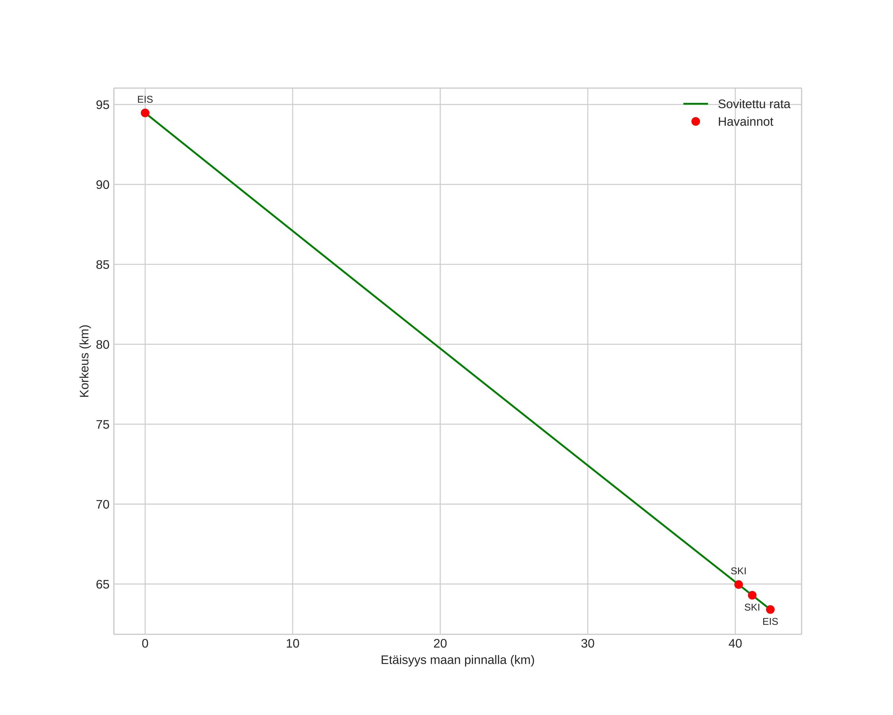
height profile
Meteorin ilmakehärata:
Alkukorkeus: 94,5 km
Loppukorkeus: 63,4 km
Alkupiste: 68,425N 21,408E
Loppupiste: 68,483N 20,382E
Suunta: 279,1°
Kallistuskulma: 36,3°
Tulonopeus: 44,5 km/s
Radiantin R,A,: 06:36 (99,2°)
Radiantin Dekl,: 29,5°
Meteoriparvi: Sporadinen
Meteoroidin rataelementit:
Perihelietäisyys: 0,195 AU
Eksentrisyys: 1,058
Inklinaatio: 14,2°
Nousevan solmun pituus: 262,2°
Perihelin argumentti: 304,1°
Keskianomalia: -5,1°
Epookki: 2023 DEC 14 19:10:57
orbit plot

Ei-interaktiivinen kuvaaja | Interaktiivinen kuvaaja

position vs time
speed and acceleration