🇳🇴 🇬🇧 🇩🇪 🇨🇿 🇫🇮

Meteor, poloha: Kiruna 2023-12-14 19:30:22 UTC

Soubor KML  |  InteraktivnĂ­ mapa

Mapa zobrazuje dráhy meteoru. Světlejší čáry ukazují směry od pozorovacích stanic při objevení se meteoru a tmavší čáry, kde byl naposledy viděn. Modrá šipka značí viditelnou dráhu meteoru.

static map
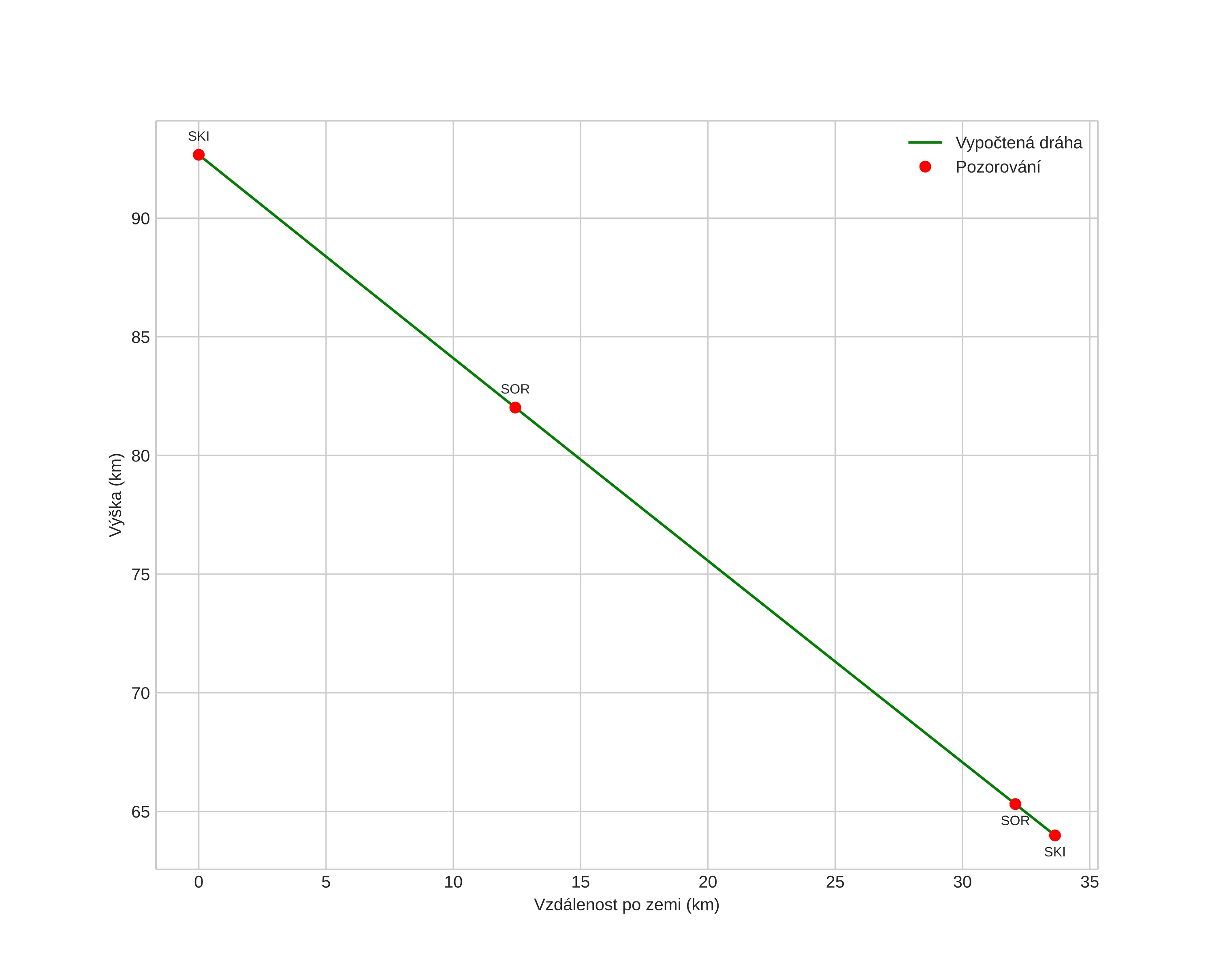
height profile
Atmosférická dráha meteoru:
Počáteční výška: 93,2 km
Konečná výška: 64,0 km
Počáteční poloha: 68,006N 20,995E
Konečná poloha: 68,152N 20,273E
Směr: 298,8°
Sklon: 40,6°
VstupnĂ­ rychlost: 30,2 km/s
Rektascenze radiantu: 05:42 (85,6°)
Deklinace radiantu: 26,1°
MeteorickĂ˝ roj: sporadickĂ˝
Elementy dráhy meteoroidu:
Vzdálenost v periheliu: 0,466 AU
Excentricita: 0,891
Sklon dráhy: 2,7°
Délka vzestupného uzlu: 262,1°
Argument perihelia: 276,8°
Střední anomálie: 355,5°
Epocha: 2023 DEC 14 19:30:22
orbit plot

NeinteraktivnĂ­ graf | InteraktivnĂ­ graf

position vs time
speed and acceleration