🇳🇴 🇬🇧 🇩🇪 🇨🇿 🇫🇮

Meteor Kirunan yllä 2023-12-14 19:30:22 UTC

KML-tiedosto  |  Interaktiivinen kartta

Kartta näyttää meteorin suuntahavainnot. Vaaleammat viivat näyttävät suunnat havaintoasemilta meteorin ilmestyessä, ja tummemmat viivat näyttävät, missä se viimeksi nähtiin. Sininen nuoli näyttää meteorin näkyvän lennon.

static map
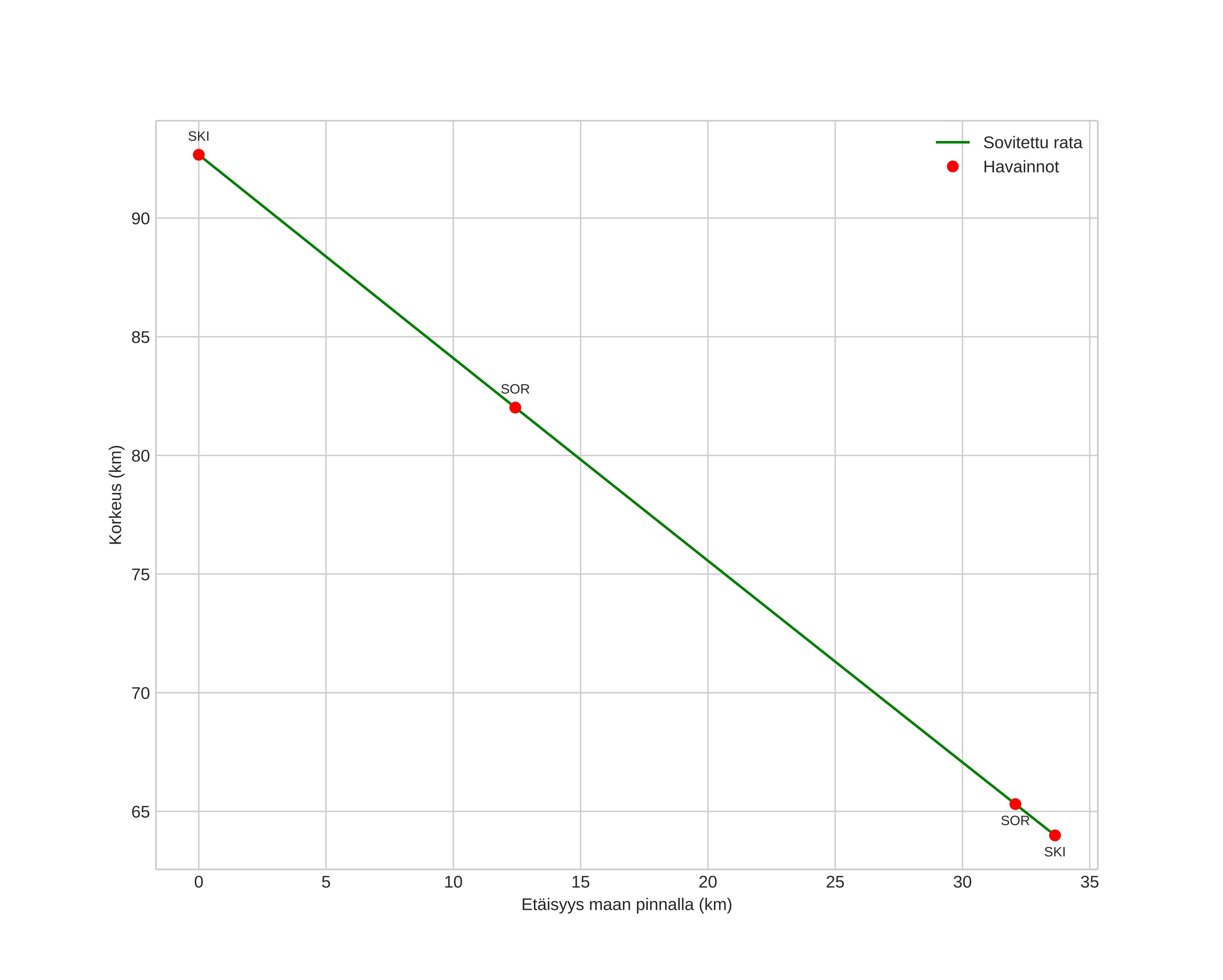
height profile
Meteorin ilmakehärata:
Alkukorkeus: 93,2 km
Loppukorkeus: 64,0 km
Alkupiste: 68,006N 20,995E
Loppupiste: 68,152N 20,273E
Suunta: 298,8°
Kallistuskulma: 40,6°
Tulonopeus: 30,2 km/s
Radiantin R,A,: 05:42 (85,6°)
Radiantin Dekl,: 26,1°
Meteoriparvi: Sporadinen
Meteoroidin rataelementit:
Perihelietäisyys: 0,466 AU
Eksentrisyys: 0,891
Inklinaatio: 2,7°
Nousevan solmun pituus: 262,1°
Perihelin argumentti: 276,8°
Keskianomalia: 355,5°
Epookki: 2023 DEC 14 19:30:22
orbit plot

Ei-interaktiivinen kuvaaja | Interaktiivinen kuvaaja

position vs time
speed and acceleration