🇳🇴 🇬🇧 🇩🇪 🇨🇿 🇫🇮

Meteor, poloha: Lyngseidet 2023-12-14 20:09:11 UTC

Soubor KML  |  InteraktivnĂ­ mapa

Mapa zobrazuje dráhy meteoru. Světlejší čáry ukazují směry od pozorovacích stanic při objevení se meteoru a tmavší čáry, kde byl naposledy viděn. Modrá šipka značí viditelnou dráhu meteoru.

static map
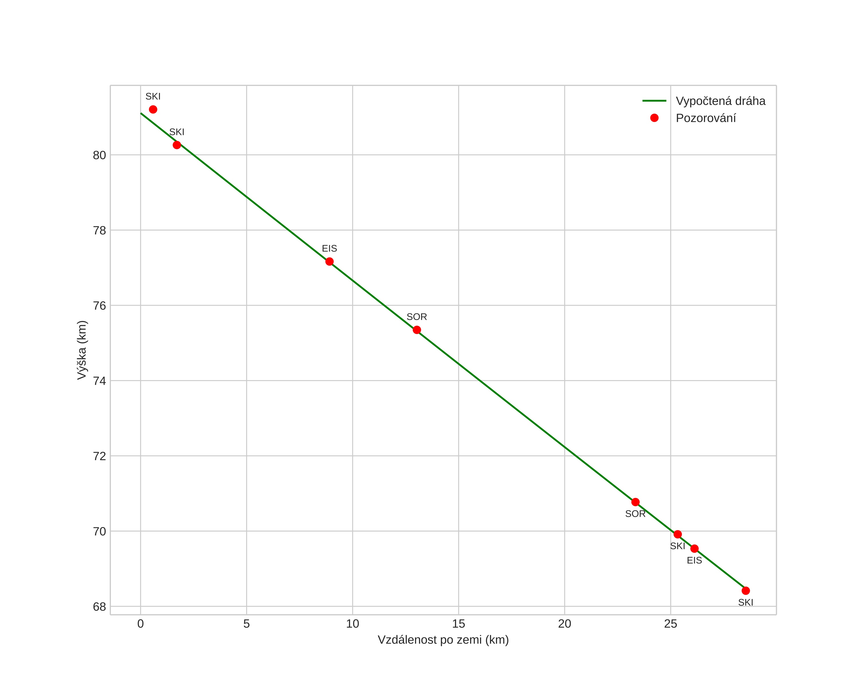
height profile
Atmosférická dráha meteoru:
Počáteční výška: 79,6 km
Konečná výška: 68,3 km
Počáteční poloha: 69,385N 19,502E
Konečná poloha: 69,439N 20,198E
Směr: 77,3°
Sklon: 22,1°
VstupnĂ­ rychlost: 14,0 km/s
Rektascenze radiantu: 21:50 (327,7°)
Deklinace radiantu: -0,9°
MeteorickĂ˝ roj: sporadickĂ˝
Elementy dráhy meteoroidu:
Vzdálenost v periheliu: 0,976 AU
Excentricita: 0,637
Sklon dráhy: 2,6°
Délka vzestupného uzlu: 262,2°
Argument perihelia: 168,0°
Střední anomálie: 2,1°
Epocha: 2023 DEC 14 20:09:11
orbit plot

NeinteraktivnĂ­ graf | InteraktivnĂ­ graf

position vs time
speed and acceleration