🇳🇴 🇬🇧 🇩🇪 🇨🇿 🇫🇮

Meteor Lyngseidetin yllä 2023-12-14 20:09:11 UTC

KML-tiedosto  |  Interaktiivinen kartta

Kartta näyttää meteorin suuntahavainnot. Vaaleammat viivat näyttävät suunnat havaintoasemilta meteorin ilmestyessä, ja tummemmat viivat näyttävät, missä se viimeksi nähtiin. Sininen nuoli näyttää meteorin näkyvän lennon.

static map
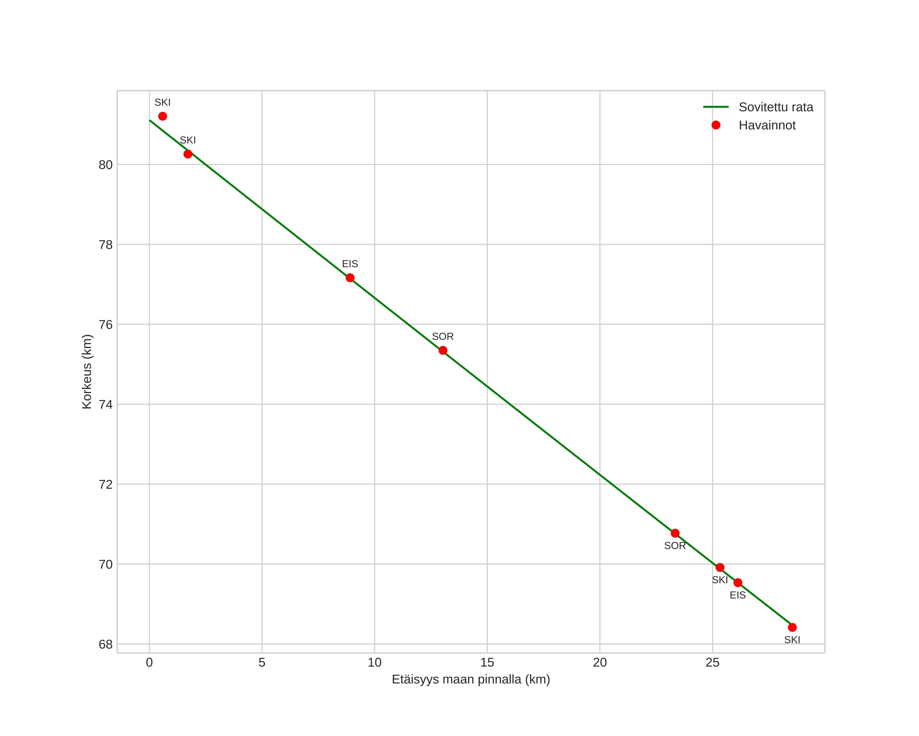
height profile
Meteorin ilmakehärata:
Alkukorkeus: 79,6 km
Loppukorkeus: 68,3 km
Alkupiste: 69,385N 19,502E
Loppupiste: 69,439N 20,198E
Suunta: 77,3°
Kallistuskulma: 22,1°
Tulonopeus: 14,0 km/s
Radiantin R,A,: 21:50 (327,7°)
Radiantin Dekl,: -0,9°
Meteoriparvi: Sporadinen
Meteoroidin rataelementit:
Perihelietäisyys: 0,976 AU
Eksentrisyys: 0,637
Inklinaatio: 2,6°
Nousevan solmun pituus: 262,2°
Perihelin argumentti: 168,0°
Keskianomalia: 2,1°
Epookki: 2023 DEC 14 20:09:11
orbit plot

Ei-interaktiivinen kuvaaja | Interaktiivinen kuvaaja

position vs time
speed and acceleration