🇳🇴 🇬🇧 🇩🇪 🇨🇿 🇫🇮

Meteor, poloha: Røst 2023-12-14 20:14:05 UTC

Soubor KML  |  InteraktivnĂ­ mapa

Mapa zobrazuje dráhy meteoru. Světlejší čáry ukazují směry od pozorovacích stanic při objevení se meteoru a tmavší čáry, kde byl naposledy viděn. Modrá šipka značí viditelnou dráhu meteoru.

static map
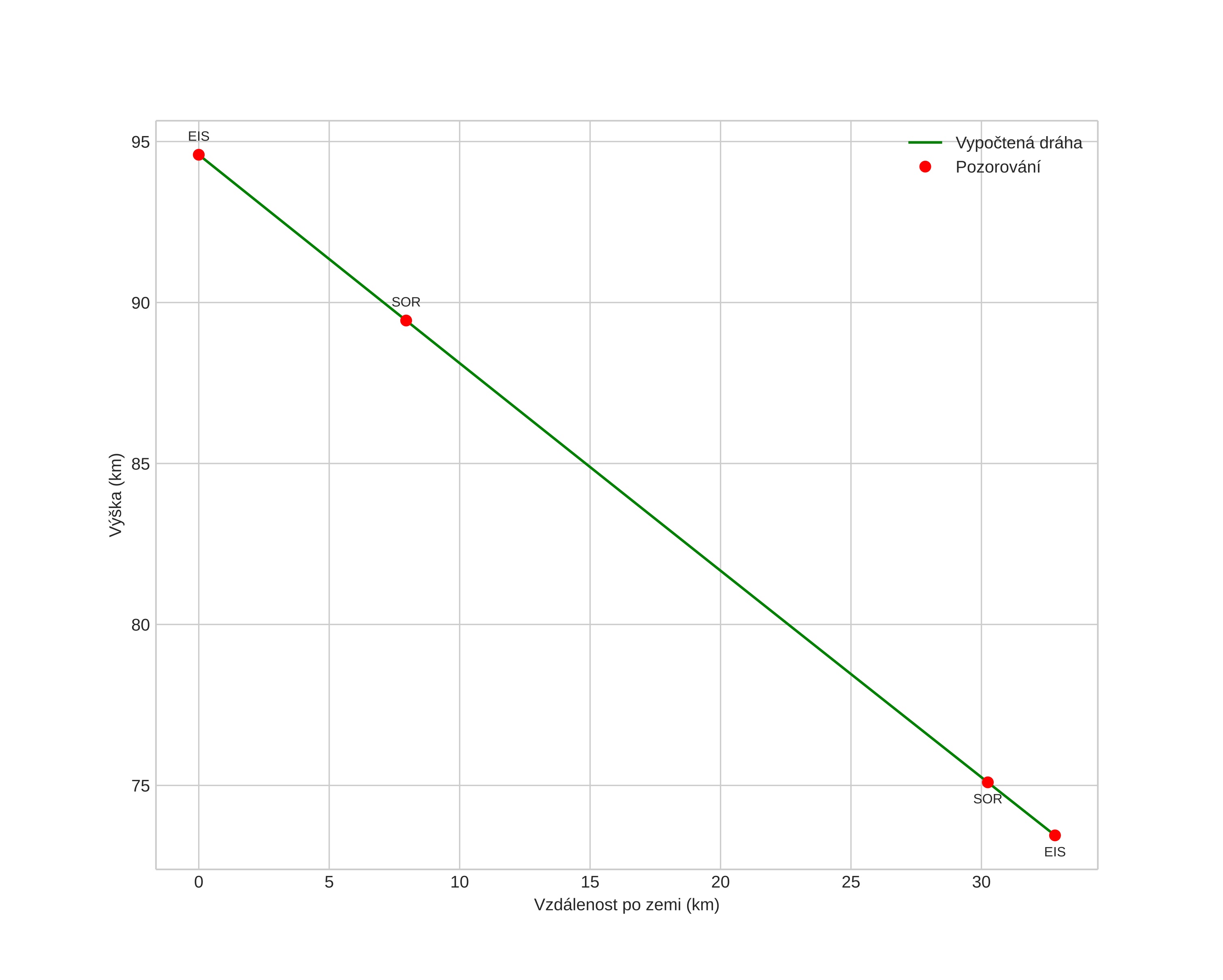
height profile
Atmosférická dráha meteoru:
Počáteční výška: 96,3 km
Konečná výška: 75,4 km
Počáteční poloha: 67,872N 13,044E
Konečná poloha: 67,859N 12,306E
Směr: 267,6°
Sklon: 34,0°
VstupnĂ­ rychlost: 39,1 km/s
Rektascenze radiantu: 07:50 (117,7°)
Deklinace radiantu: 31,1°
MeteorickĂ˝ roj: Geminidy
Elementy dráhy meteoroidu:
Vzdálenost v periheliu: 0,092 AU
Excentricita: 0,933
Sklon dráhy: 30,4°
Délka vzestupného uzlu: 262,2°
Argument perihelia: 331,5°
Střední anomálie: 338,6°
Epocha: 2023 DEC 14 20:14:05
orbit plot

NeinteraktivnĂ­ graf | InteraktivnĂ­ graf

position vs time
speed and acceleration