🇳🇴 🇬🇧 🇩🇪 🇨🇿 🇫🇮

Meteor Røstin yllä 2023-12-14 20:14:05 UTC

KML-tiedosto  |  Interaktiivinen kartta

Kartta näyttää meteorin suuntahavainnot. Vaaleammat viivat näyttävät suunnat havaintoasemilta meteorin ilmestyessä, ja tummemmat viivat näyttävät, missä se viimeksi nähtiin. Sininen nuoli näyttää meteorin näkyvän lennon.

static map
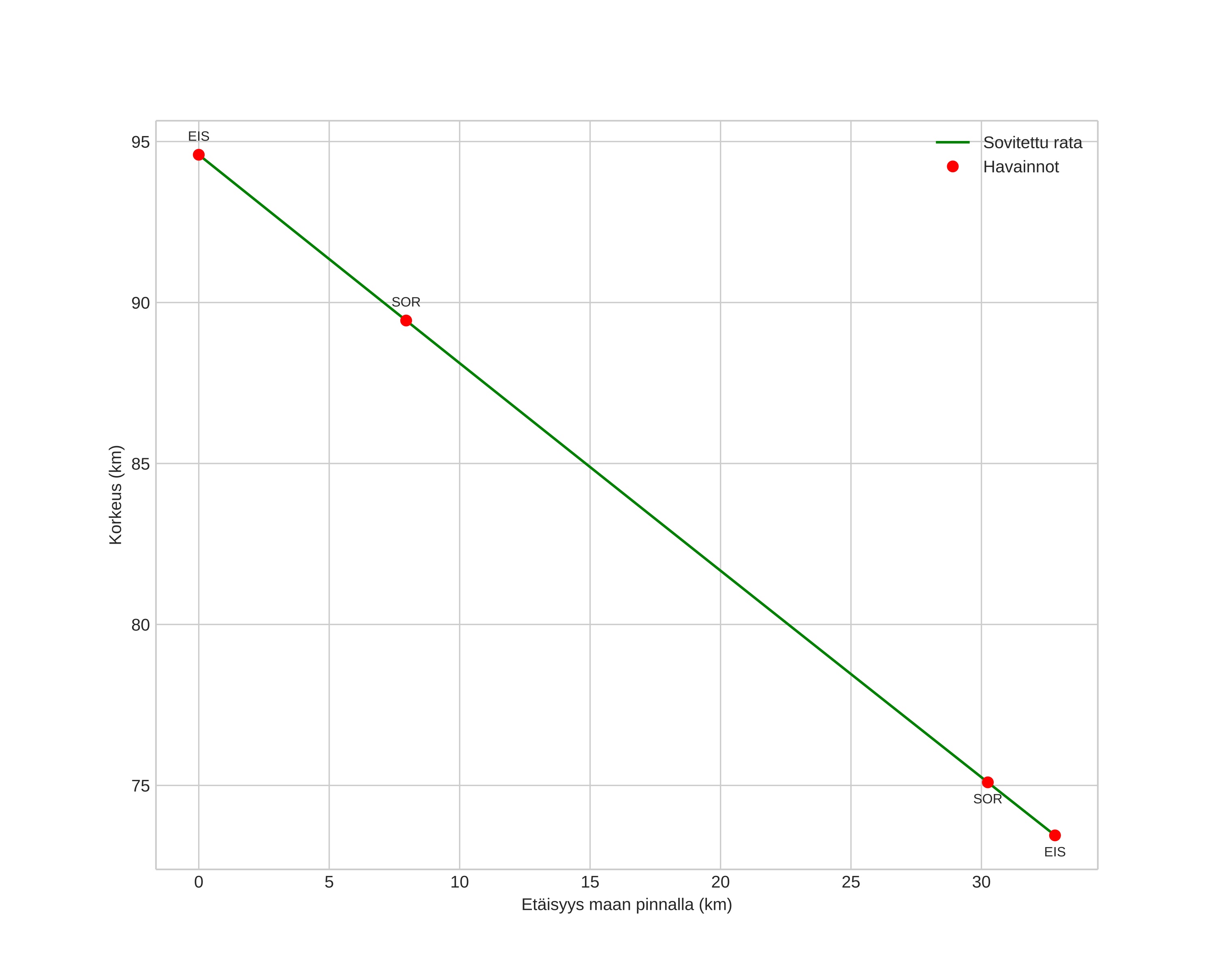
height profile
Meteorin ilmakehärata:
Alkukorkeus: 96,3 km
Loppukorkeus: 75,4 km
Alkupiste: 67,872N 13,044E
Loppupiste: 67,859N 12,306E
Suunta: 267,6°
Kallistuskulma: 34,0°
Tulonopeus: 39,1 km/s
Radiantin R,A,: 07:50 (117,7°)
Radiantin Dekl,: 31,1°
Meteoriparvi: Geminidit
Meteoroidin rataelementit:
Perihelietäisyys: 0,092 AU
Eksentrisyys: 0,933
Inklinaatio: 30,4°
Nousevan solmun pituus: 262,2°
Perihelin argumentti: 331,5°
Keskianomalia: 338,6°
Epookki: 2023 DEC 14 20:14:05
orbit plot

Ei-interaktiivinen kuvaaja | Interaktiivinen kuvaaja

position vs time
speed and acceleration