🇳🇴 🇬🇧 🇩🇪 🇨🇿 🇫🇮

Meteor, poloha: Narvik 2023-12-14 20:17:28 UTC

Soubor KML  |  InteraktivnĂ­ mapa

Mapa zobrazuje dráhy meteoru. Světlejší čáry ukazují směry od pozorovacích stanic při objevení se meteoru a tmavší čáry, kde byl naposledy viděn. Modrá šipka značí viditelnou dráhu meteoru.

static map
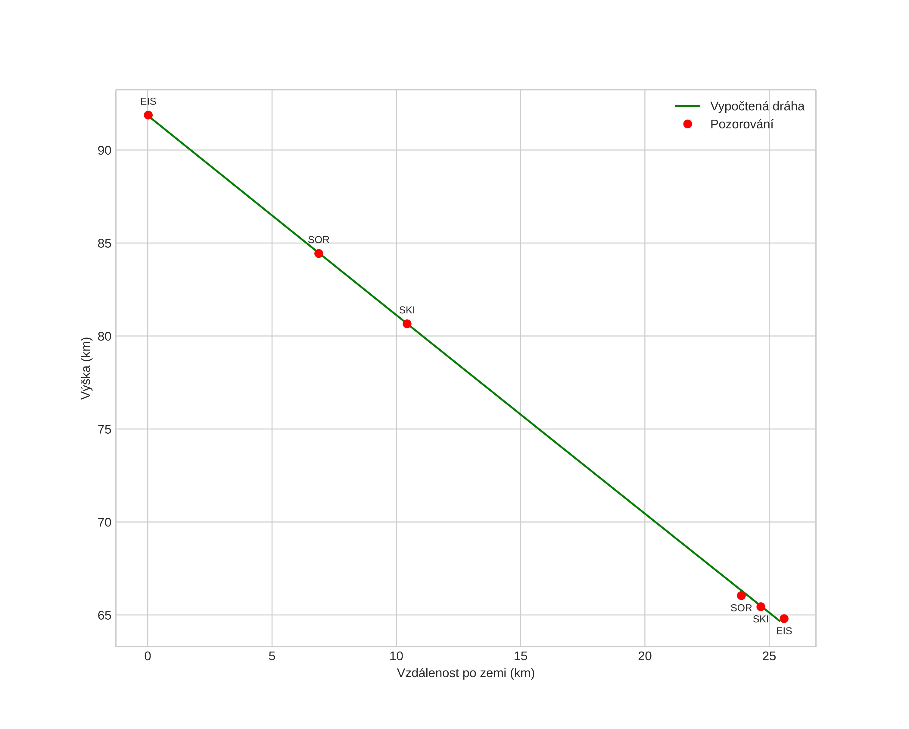
height profile
Atmosférická dráha meteoru:
Počáteční výška: 91,7 km
Konečná výška: 62,7 km
Počáteční poloha: 67,825N 18,238E
Konečná poloha: 67,998N 17,768E
Směr: 314,6°
Sklon: 46,5°
VstupnĂ­ rychlost: 26,2 km/s
Rektascenze radiantu: 05:19 (79,9°)
Deklinace radiantu: 27,2°
MeteorickĂ˝ roj: sporadickĂ˝
Elementy dráhy meteoroidu:
Vzdálenost v periheliu: 0,572 AU
Excentricita: 0,813
Sklon dráhy: 3,1°
Délka vzestupného uzlu: 262,2°
Argument perihelia: 266,2°
Střední anomálie: 352,3°
Epocha: 2023 DEC 14 20:17:28
orbit plot

NeinteraktivnĂ­ graf | InteraktivnĂ­ graf

position vs time
speed and acceleration