🇳🇴 🇬🇧 🇩🇪 🇨🇿 🇫🇮

Meteor Narvikin yllä 2023-12-14 20:17:28 UTC

KML-tiedosto  |  Interaktiivinen kartta

Kartta näyttää meteorin suuntahavainnot. Vaaleammat viivat näyttävät suunnat havaintoasemilta meteorin ilmestyessä, ja tummemmat viivat näyttävät, missä se viimeksi nähtiin. Sininen nuoli näyttää meteorin näkyvän lennon.

static map
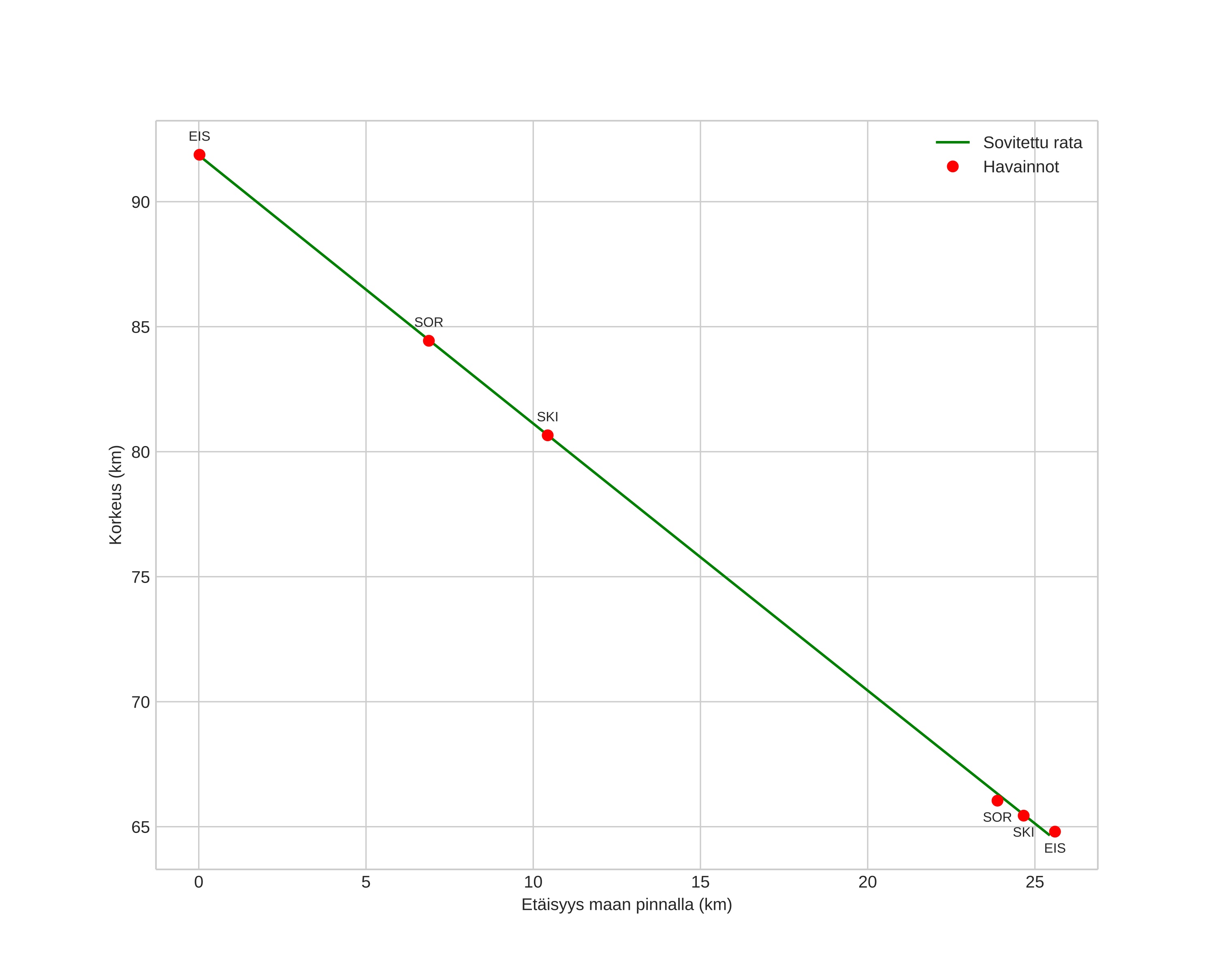
height profile
Meteorin ilmakehärata:
Alkukorkeus: 91,7 km
Loppukorkeus: 62,7 km
Alkupiste: 67,825N 18,238E
Loppupiste: 67,998N 17,768E
Suunta: 314,6°
Kallistuskulma: 46,5°
Tulonopeus: 26,2 km/s
Radiantin R,A,: 05:19 (79,9°)
Radiantin Dekl,: 27,2°
Meteoriparvi: Sporadinen
Meteoroidin rataelementit:
Perihelietäisyys: 0,572 AU
Eksentrisyys: 0,813
Inklinaatio: 3,1°
Nousevan solmun pituus: 262,2°
Perihelin argumentti: 266,2°
Keskianomalia: 352,3°
Epookki: 2023 DEC 14 20:17:28
orbit plot

Ei-interaktiivinen kuvaaja | Interaktiivinen kuvaaja

position vs time
speed and acceleration