🇳🇴 🇬🇧 🇩🇪 🇨🇿 🇫🇮

Meteor, poloha: Husøya 2023-12-14 20:17:46 UTC

Soubor KML  |  InteraktivnĂ­ mapa

Mapa zobrazuje dráhy meteoru. Světlejší čáry ukazují směry od pozorovacích stanic při objevení se meteoru a tmavší čáry, kde byl naposledy viděn. Modrá šipka značí viditelnou dráhu meteoru.

static map
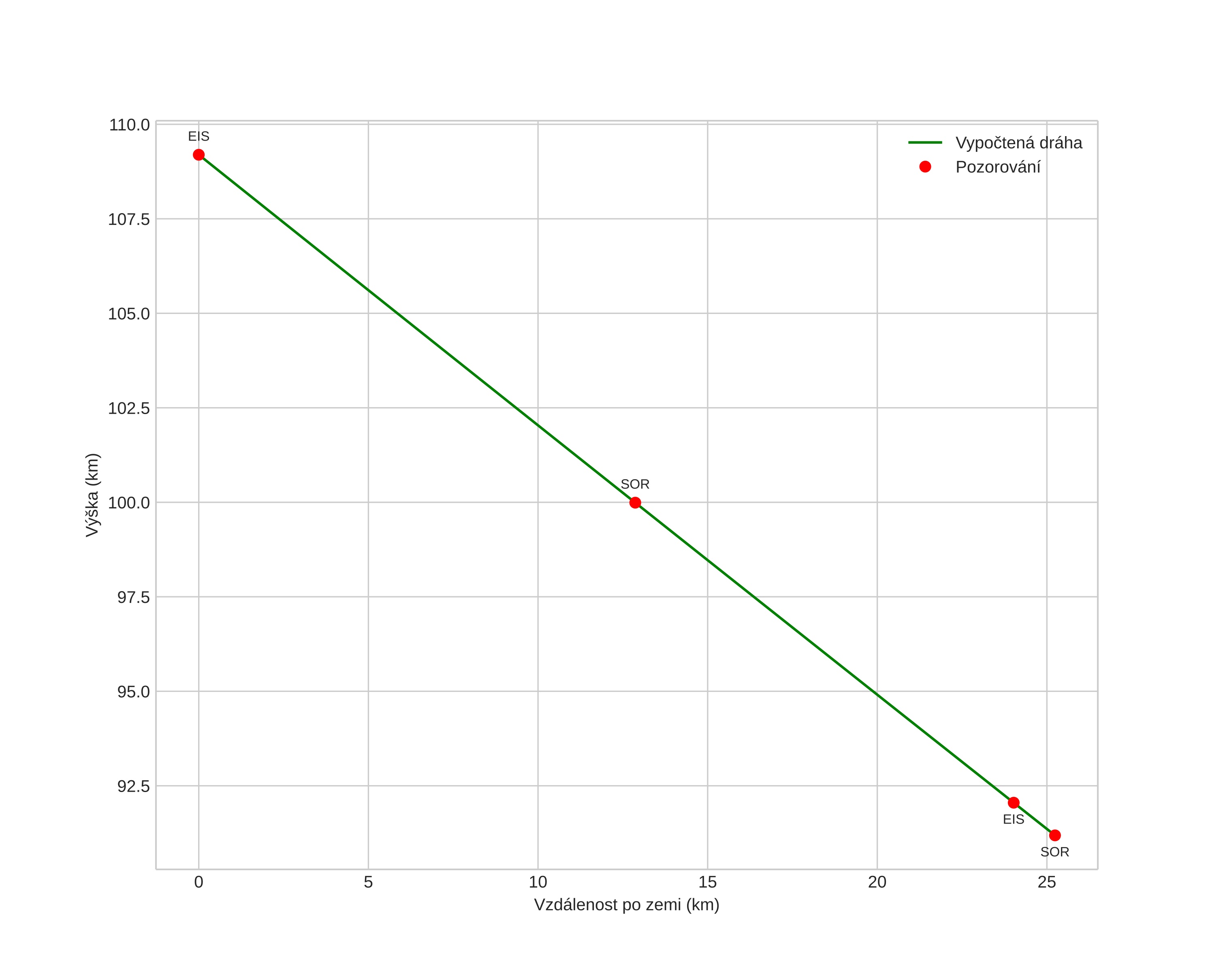
height profile
Atmosférická dráha meteoru:
Počáteční výška: 114,6 km
Konečná výška: 102,1 km
Počáteční poloha: 67,120N 10,654E
Konečná poloha: 66,999N 9,710E
Směr: 252,2°
Sklon: 16,2°
VstupnĂ­ rychlost: 63,1 km/s
Rektascenze radiantu: 09:12 (138,2°)
Deklinace radiantu: 21,3°
MeteorickĂ˝ roj: sporadickĂ˝
Elementy dráhy meteoroidu:
Vzdálenost v periheliu: 0,199 AU
Excentricita: 1,005
Sklon dráhy: 163,8°
Délka vzestupného uzlu: 262,3°
Argument perihelia: 306,3°
Střední anomálie: -0,1°
Epocha: 2023 DEC 14 20:17:46
orbit plot

NeinteraktivnĂ­ graf | InteraktivnĂ­ graf

position vs time
speed and acceleration