🇳🇴 🇬🇧 🇩🇪 🇨🇿 🇫🇮

Meteor Husøyan yllä 2023-12-14 20:17:46 UTC

KML-tiedosto  |  Interaktiivinen kartta

Kartta näyttää meteorin suuntahavainnot. Vaaleammat viivat näyttävät suunnat havaintoasemilta meteorin ilmestyessä, ja tummemmat viivat näyttävät, missä se viimeksi nähtiin. Sininen nuoli näyttää meteorin näkyvän lennon.

static map
height profile
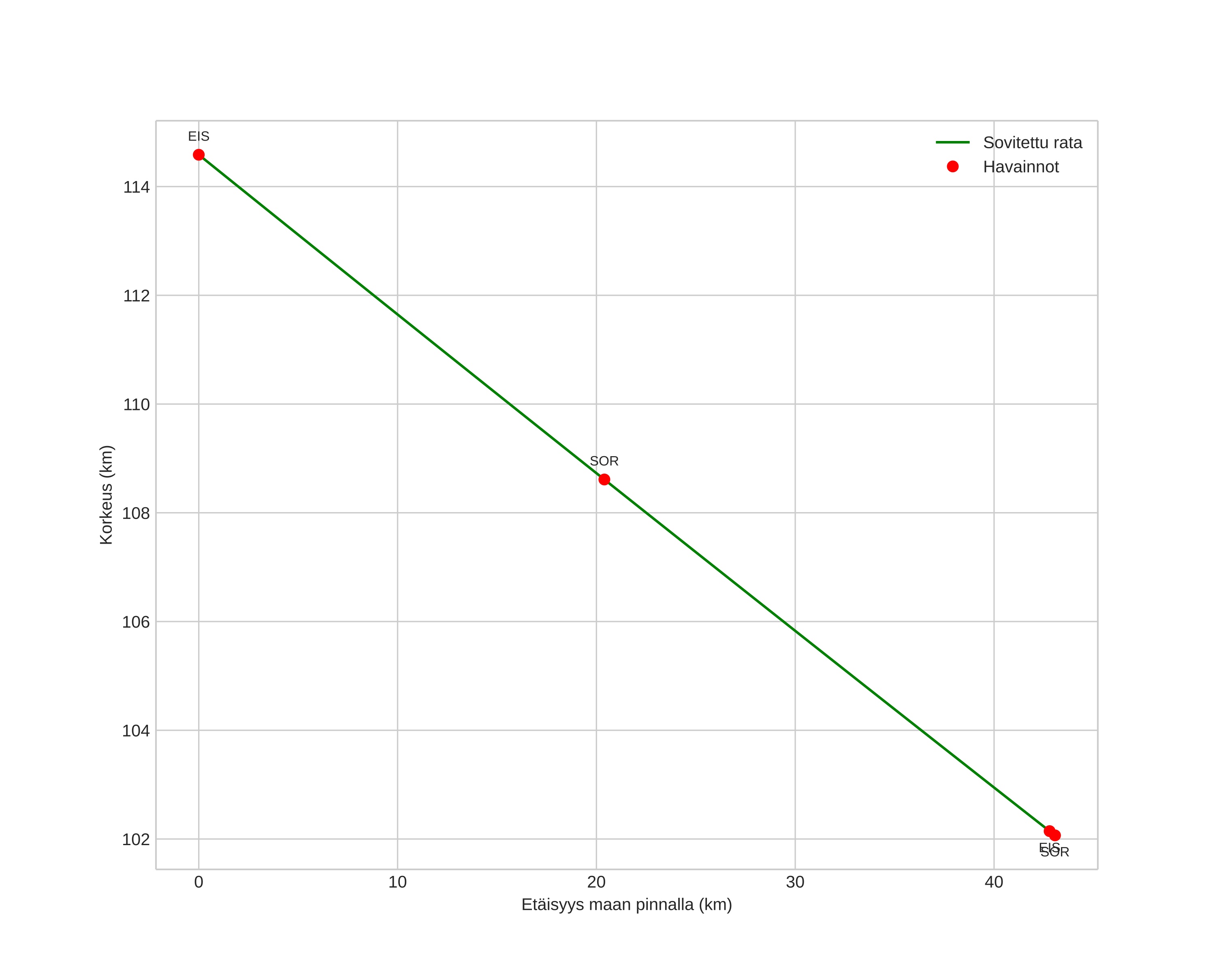
Meteorin ilmakehärata:
Alkukorkeus: 114,6 km
Loppukorkeus: 102,1 km
Alkupiste: 67,120N 10,654E
Loppupiste: 66,999N 9,710E
Suunta: 252,2°
Kallistuskulma: 16,2°
Tulonopeus: 63,1 km/s
Radiantin R,A,: 09:12 (138,2°)
Radiantin Dekl,: 21,3°
Meteoriparvi: Sporadinen
Meteoroidin rataelementit:
Perihelietäisyys: 0,199 AU
Eksentrisyys: 1,005
Inklinaatio: 163,8°
Nousevan solmun pituus: 262,3°
Perihelin argumentti: 306,3°
Keskianomalia: -0,1°
Epookki: 2023 DEC 14 20:17:46
orbit plot

Ei-interaktiivinen kuvaaja | Interaktiivinen kuvaaja

position vs time
speed and acceleration