🇳🇴 🇬🇧 🇩🇪 🇨🇿 🇫🇮

Meteor, poloha: Sortland 2023-12-14 20:45:07 UTC

Soubor KML  |  InteraktivnĂ­ mapa

Mapa zobrazuje dráhy meteoru. Světlejší čáry ukazují směry od pozorovacích stanic při objevení se meteoru a tmavší čáry, kde byl naposledy viděn. Modrá šipka značí viditelnou dráhu meteoru.

static map
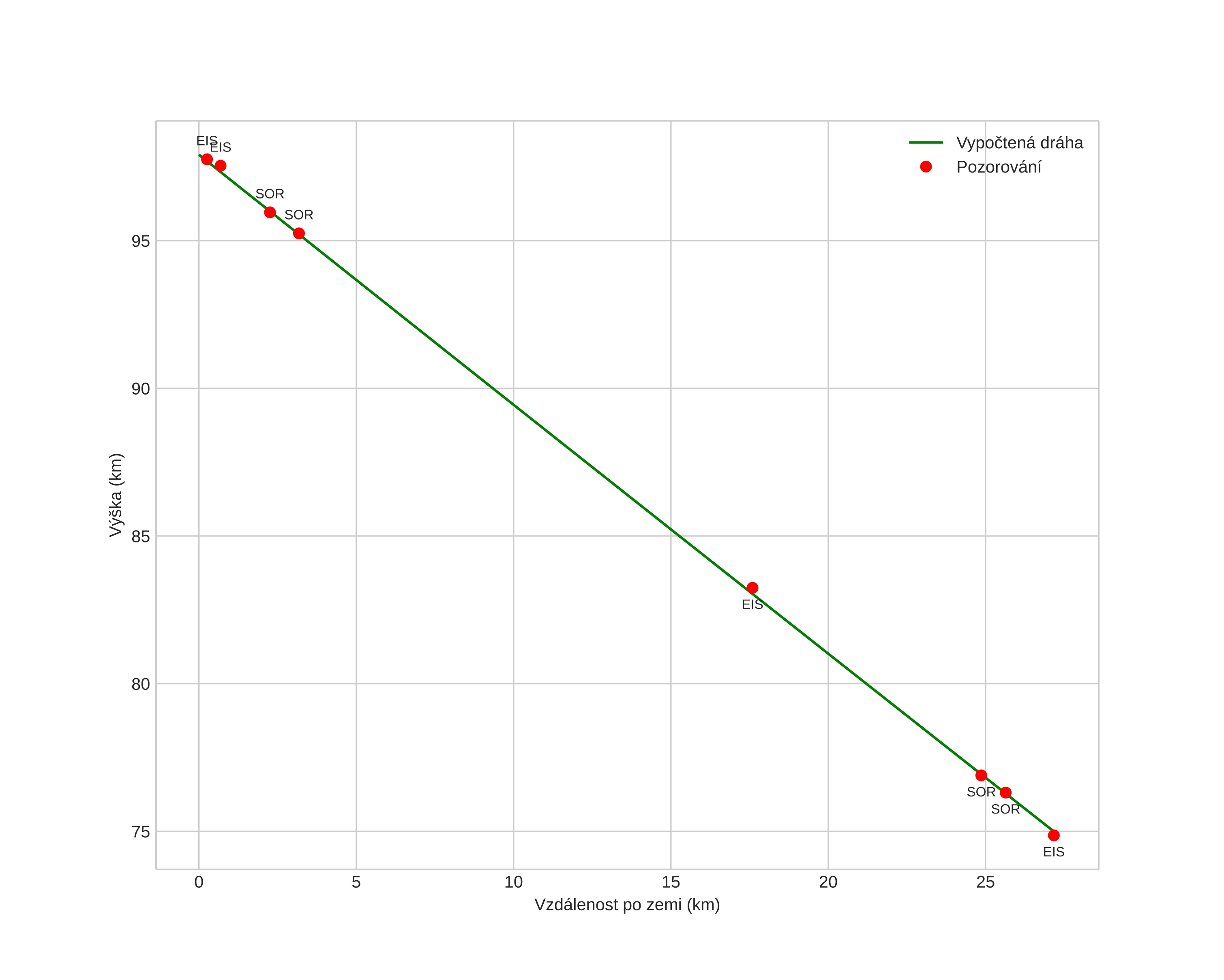
height profile
Atmosférická dráha meteoru:
Počáteční výška: 98,5 km
Konečná výška: 74,9 km
Počáteční poloha: 68,717N 16,176E
Konečná poloha: 68,766N 15,536E
Směr: 282,3°
Sklon: 41,8°
VstupnĂ­ rychlost: 37,8 km/s
Rektascenze radiantu: 07:29 (112,4°)
Deklinace radiantu: 33,4°
MeteorickĂ˝ roj: Geminidy
Elementy dráhy meteoroidu:
Vzdálenost v periheliu: 0,148 AU
Excentricita: 0,910
Sklon dráhy: 26,3°
Délka vzestupného uzlu: 262,3°
Argument perihelia: 321,6°
Střední anomálie: 342,9°
Epocha: 2023 DEC 14 20:45:07
orbit plot

NeinteraktivnĂ­ graf | InteraktivnĂ­ graf

position vs time
speed and acceleration