🇳🇴 🇬🇧 🇩🇪 🇨🇿 🇫🇮

Meteor Sortlandin yllä 2023-12-14 20:45:07 UTC

KML-tiedosto  |  Interaktiivinen kartta

Kartta näyttää meteorin suuntahavainnot. Vaaleammat viivat näyttävät suunnat havaintoasemilta meteorin ilmestyessä, ja tummemmat viivat näyttävät, missä se viimeksi nähtiin. Sininen nuoli näyttää meteorin näkyvän lennon.

static map
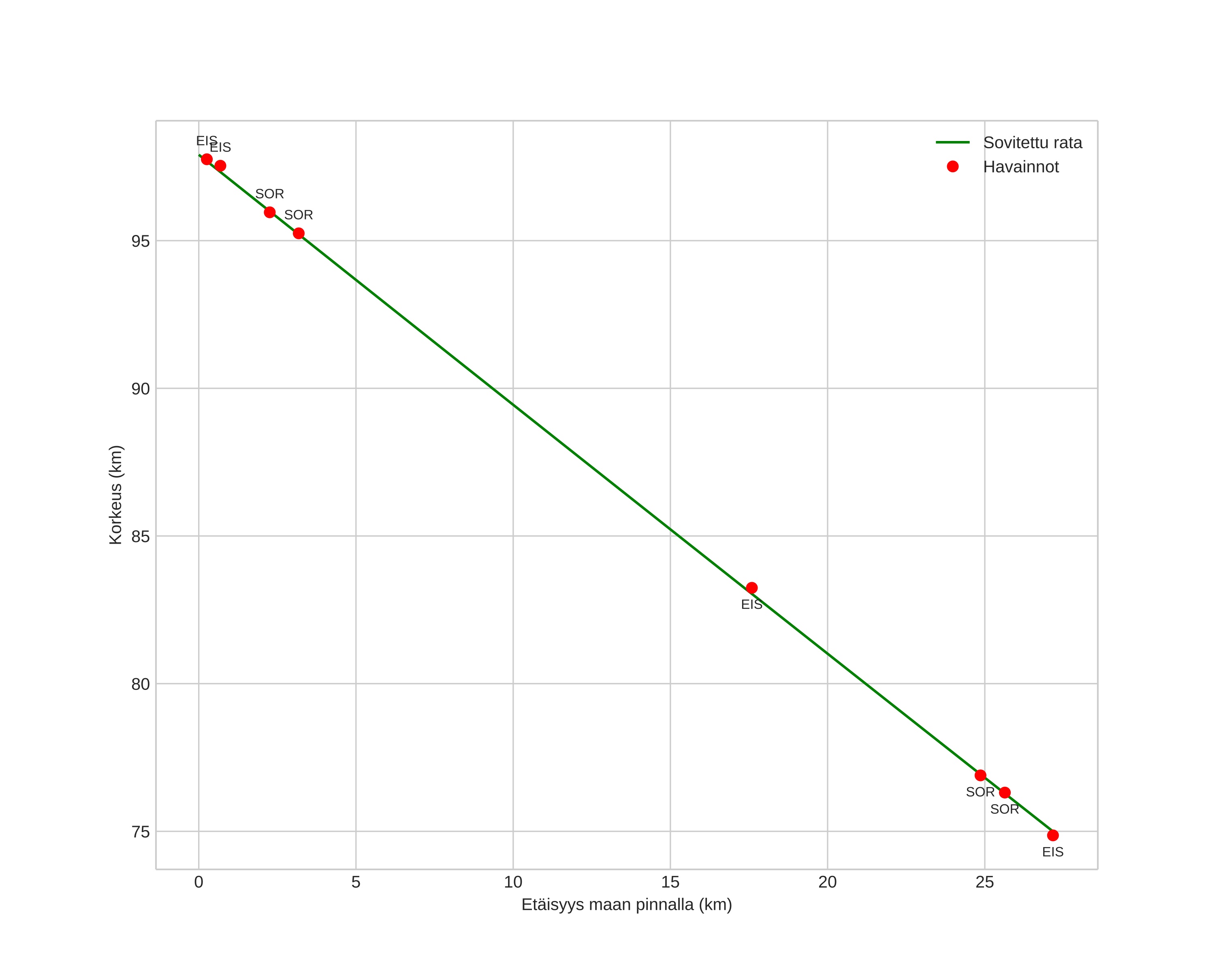
height profile
Meteorin ilmakehärata:
Alkukorkeus: 98,5 km
Loppukorkeus: 74,9 km
Alkupiste: 68,717N 16,176E
Loppupiste: 68,766N 15,536E
Suunta: 282,3°
Kallistuskulma: 41,8°
Tulonopeus: 37,8 km/s
Radiantin R,A,: 07:29 (112,4°)
Radiantin Dekl,: 33,4°
Meteoriparvi: Geminidit
Meteoroidin rataelementit:
Perihelietäisyys: 0,148 AU
Eksentrisyys: 0,910
Inklinaatio: 26,3°
Nousevan solmun pituus: 262,3°
Perihelin argumentti: 321,6°
Keskianomalia: 342,9°
Epookki: 2023 DEC 14 20:45:07
orbit plot

Ei-interaktiivinen kuvaaja | Interaktiivinen kuvaaja

position vs time
speed and acceleration