🇳🇴 🇬🇧 🇩🇪 🇨🇿 🇫🇮

Meteor, poloha: Olderdalen 2023-12-14 21:03:26 UTC

Soubor KML  |  InteraktivnĂ­ mapa

Mapa zobrazuje dráhy meteoru. Světlejší čáry ukazují směry od pozorovacích stanic při objevení se meteoru a tmavší čáry, kde byl naposledy viděn. Modrá šipka značí viditelnou dráhu meteoru.

static map
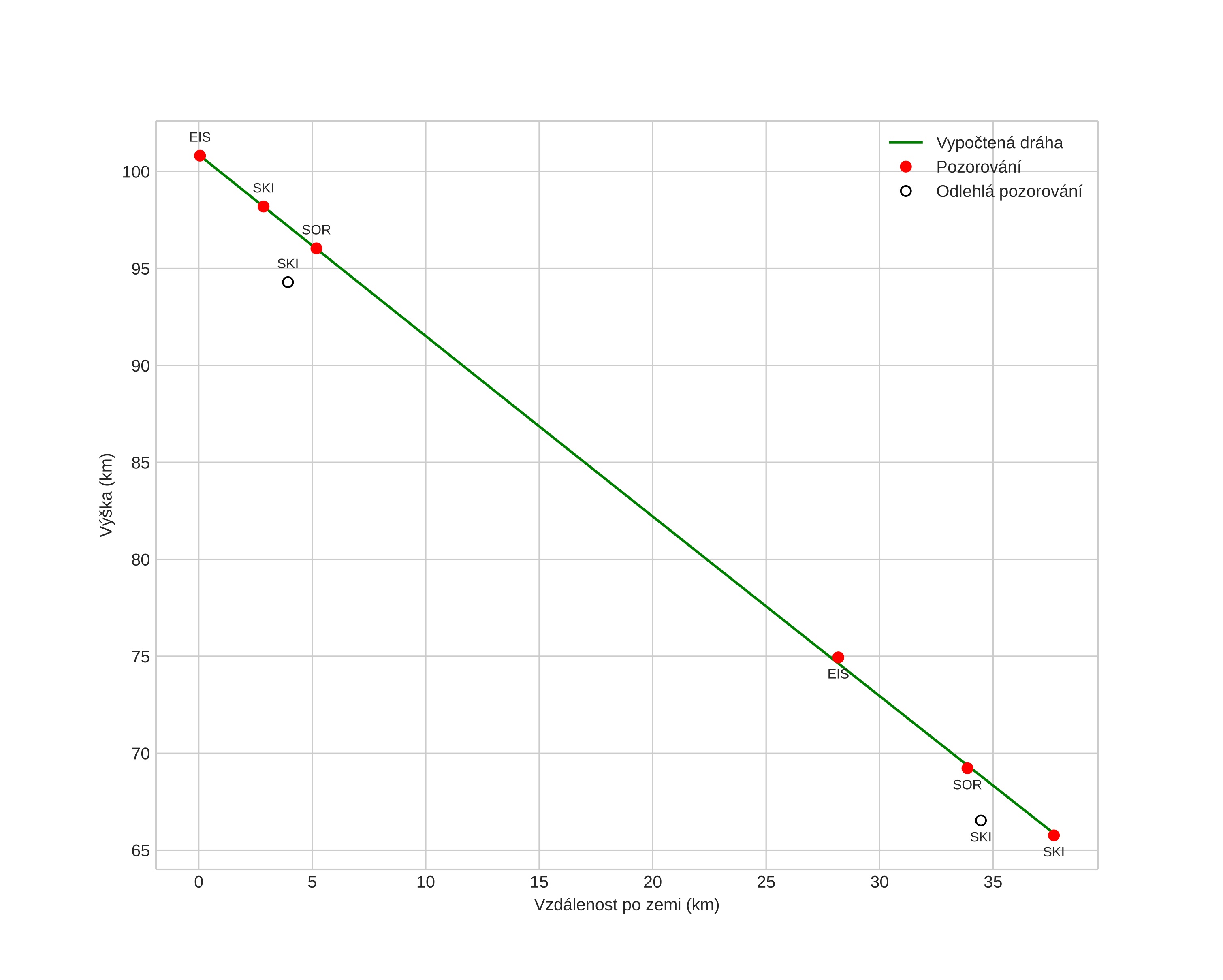
height profile
Atmosférická dráha meteoru:
Počáteční výška: 100,9 km
Konečná výška: 65,8 km
Počáteční poloha: 69,803N 21,431E
Konečná poloha: 69,948N 20,540E
Směr: 295,8°
Sklon: 42,9°
VstupnĂ­ rychlost: 34,8 km/s
Rektascenze radiantu: 07:25 (111,4°)
Deklinace radiantu: 30,8°
MeteorickĂ˝ roj: Geminidy
Elementy dráhy meteoroidu:
Vzdálenost v periheliu: 0,162 AU
Excentricita: 0,879
Sklon dráhy: 17,5°
Délka vzestupného uzlu: 262,3°
Argument perihelia: 321,8°
Střední anomálie: 335,6°
Epocha: 2023 DEC 14 21:03:26
orbit plot

NeinteraktivnĂ­ graf | InteraktivnĂ­ graf

position vs time
speed and acceleration

Sorreisa (SOR) cam4

gnomonic
Videa
• Původní
Obrázky
• Původní
Textové soubory
• Detekce
• Pozorování
• Souřadnice
• Chybová hlášení
• Protokol
Jasnost