🇳🇴 🇬🇧 🇩🇪 🇨🇿 🇫🇮

Meteor Olderdalenin yllä 2023-12-14 21:03:26 UTC

KML-tiedosto  |  Interaktiivinen kartta

Kartta näyttää meteorin suuntahavainnot. Vaaleammat viivat näyttävät suunnat havaintoasemilta meteorin ilmestyessä, ja tummemmat viivat näyttävät, missä se viimeksi nähtiin. Sininen nuoli näyttää meteorin näkyvän lennon.

static map
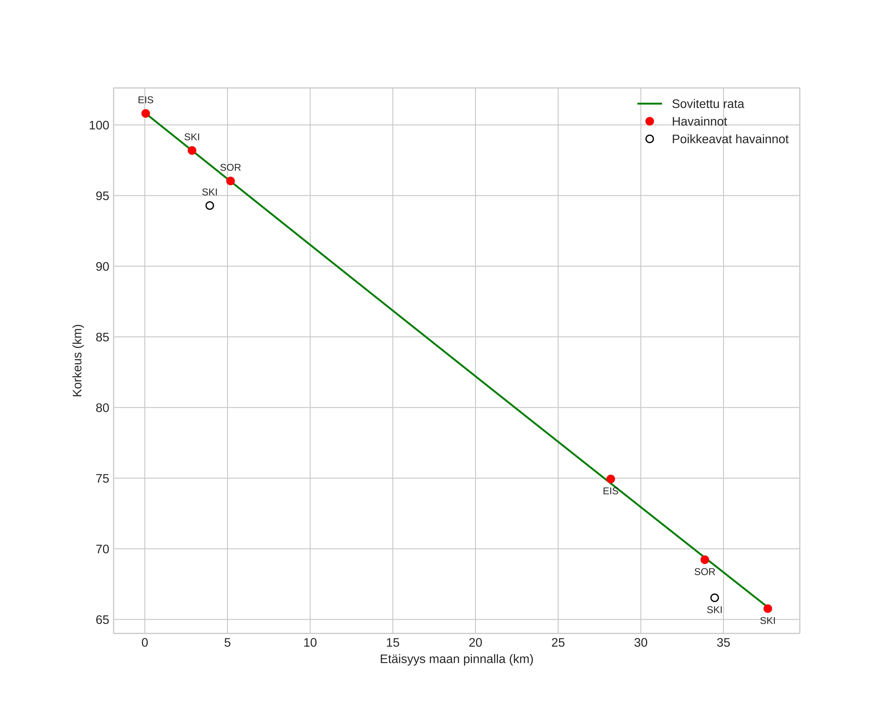
height profile
Meteorin ilmakehärata:
Alkukorkeus: 100,9 km
Loppukorkeus: 65,8 km
Alkupiste: 69,803N 21,431E
Loppupiste: 69,948N 20,540E
Suunta: 295,8°
Kallistuskulma: 42,9°
Tulonopeus: 34,8 km/s
Radiantin R,A,: 07:25 (111,4°)
Radiantin Dekl,: 30,8°
Meteoriparvi: Geminidit
Meteoroidin rataelementit:
Perihelietäisyys: 0,162 AU
Eksentrisyys: 0,879
Inklinaatio: 17,5°
Nousevan solmun pituus: 262,3°
Perihelin argumentti: 321,8°
Keskianomalia: 335,6°
Epookki: 2023 DEC 14 21:03:26
orbit plot

Ei-interaktiivinen kuvaaja | Interaktiivinen kuvaaja

position vs time
speed and acceleration

Sorreisa (SOR) cam4

gnomonic
Videot:
• Alkuperäinen
Kuvat:
• Alkuperäinen
Tekstitiedostot:
• Havaintoraportti
• Observaatio
• Koordinaatit
• Virheilmoitukset
• Loki
Kirkkaus