🇳🇴 🇬🇧 🇩🇪 🇨🇿 🇫🇮

Meteor, poloha: Leinesfjorden 2023-12-14 21:09:06 UTC

Soubor KML  |  InteraktivnĂ­ mapa

Mapa zobrazuje dráhy meteoru. Světlejší čáry ukazují směry od pozorovacích stanic při objevení se meteoru a tmavší čáry, kde byl naposledy viděn. Modrá šipka značí viditelnou dráhu meteoru.

static map
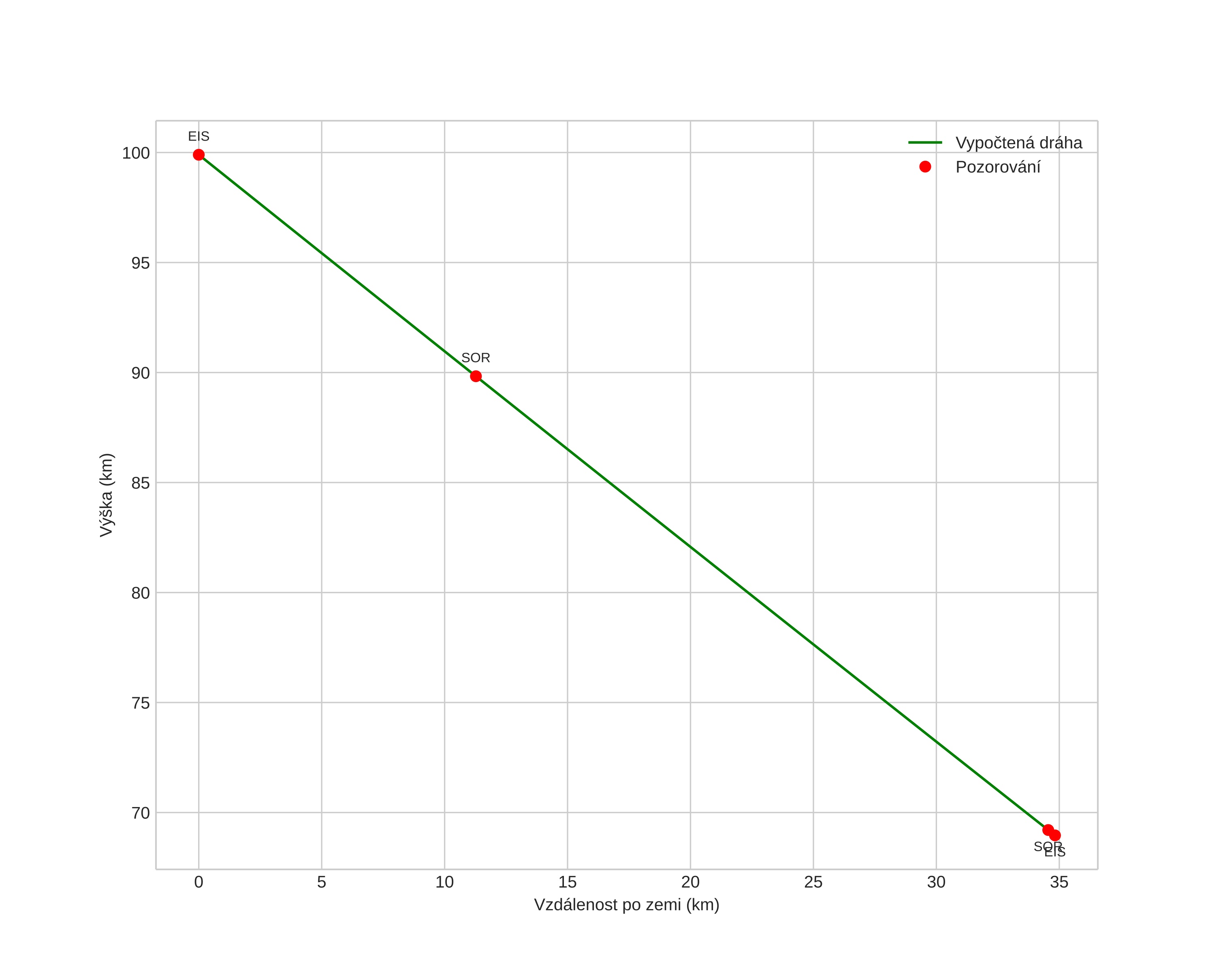
height profile
Atmosférická dráha meteoru:
Počáteční výška: 100,8 km
Konečná výška: 70,6 km
Počáteční poloha: 68,051N 15,975E
Konečná poloha: 68,116N 15,122E
Směr: 281,9°
Sklon: 39,9°
VstupnĂ­ rychlost: 35,1 km/s
Rektascenze radiantu: 07:57 (119,3°)
Deklinace radiantu: 31,3°
MeteorickĂ˝ roj: Geminidy
Elementy dráhy meteoroidu:
Vzdálenost v periheliu: 0,112 AU
Excentricita: 0,893
Sklon dráhy: 25,3°
Délka vzestupného uzlu: 262,3°
Argument perihelia: 331,6°
Střední anomálie: 324,7°
Epocha: 2023 DEC 14 21:09:06
orbit plot

NeinteraktivnĂ­ graf | InteraktivnĂ­ graf

position vs time
speed and acceleration