🇳🇴 🇬🇧 🇩🇪 🇨🇿 🇫🇮

Meteor Leinesfjordenin yllä 2023-12-14 21:09:06 UTC

KML-tiedosto  |  Interaktiivinen kartta

Kartta näyttää meteorin suuntahavainnot. Vaaleammat viivat näyttävät suunnat havaintoasemilta meteorin ilmestyessä, ja tummemmat viivat näyttävät, missä se viimeksi nähtiin. Sininen nuoli näyttää meteorin näkyvän lennon.

static map
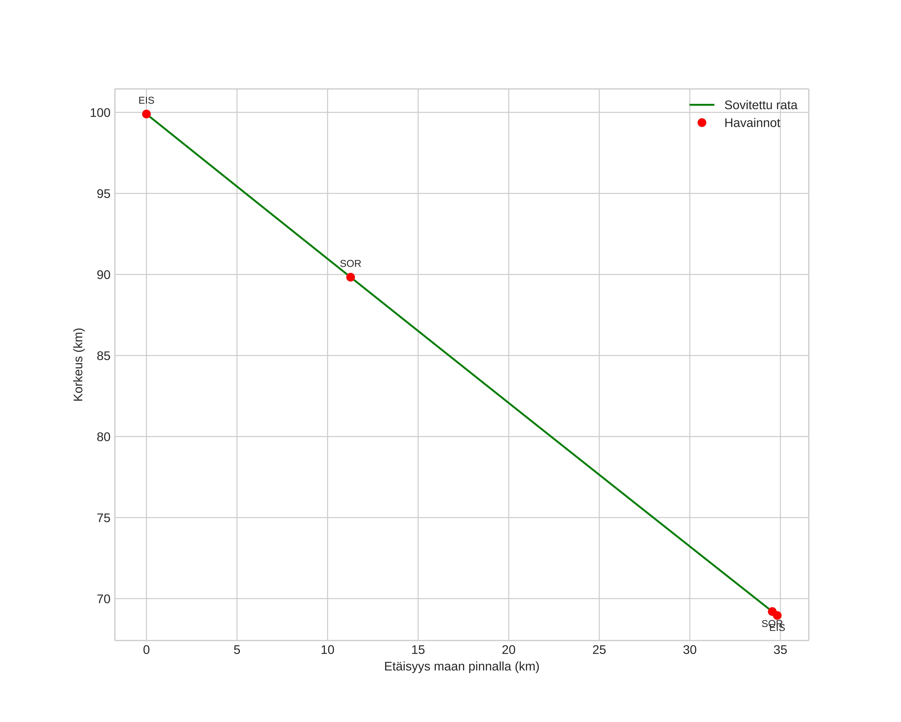
height profile
Meteorin ilmakehärata:
Alkukorkeus: 100,8 km
Loppukorkeus: 70,6 km
Alkupiste: 68,051N 15,975E
Loppupiste: 68,116N 15,122E
Suunta: 281,9°
Kallistuskulma: 39,9°
Tulonopeus: 35,1 km/s
Radiantin R,A,: 07:57 (119,3°)
Radiantin Dekl,: 31,3°
Meteoriparvi: Geminidit
Meteoroidin rataelementit:
Perihelietäisyys: 0,112 AU
Eksentrisyys: 0,893
Inklinaatio: 25,3°
Nousevan solmun pituus: 262,3°
Perihelin argumentti: 331,6°
Keskianomalia: 324,7°
Epookki: 2023 DEC 14 21:09:06
orbit plot

Ei-interaktiivinen kuvaaja | Interaktiivinen kuvaaja

position vs time
speed and acceleration