🇳🇴 🇬🇧 🇩🇪 🇨🇿 🇫🇮

Meteor, poloha: Tromsø 2023-12-14 21:10:17 UTC

Soubor KML  |  InteraktivnĂ­ mapa

Mapa zobrazuje dráhy meteoru. Světlejší čáry ukazují směry od pozorovacích stanic při objevení se meteoru a tmavší čáry, kde byl naposledy viděn. Modrá šipka značí viditelnou dráhu meteoru.

static map
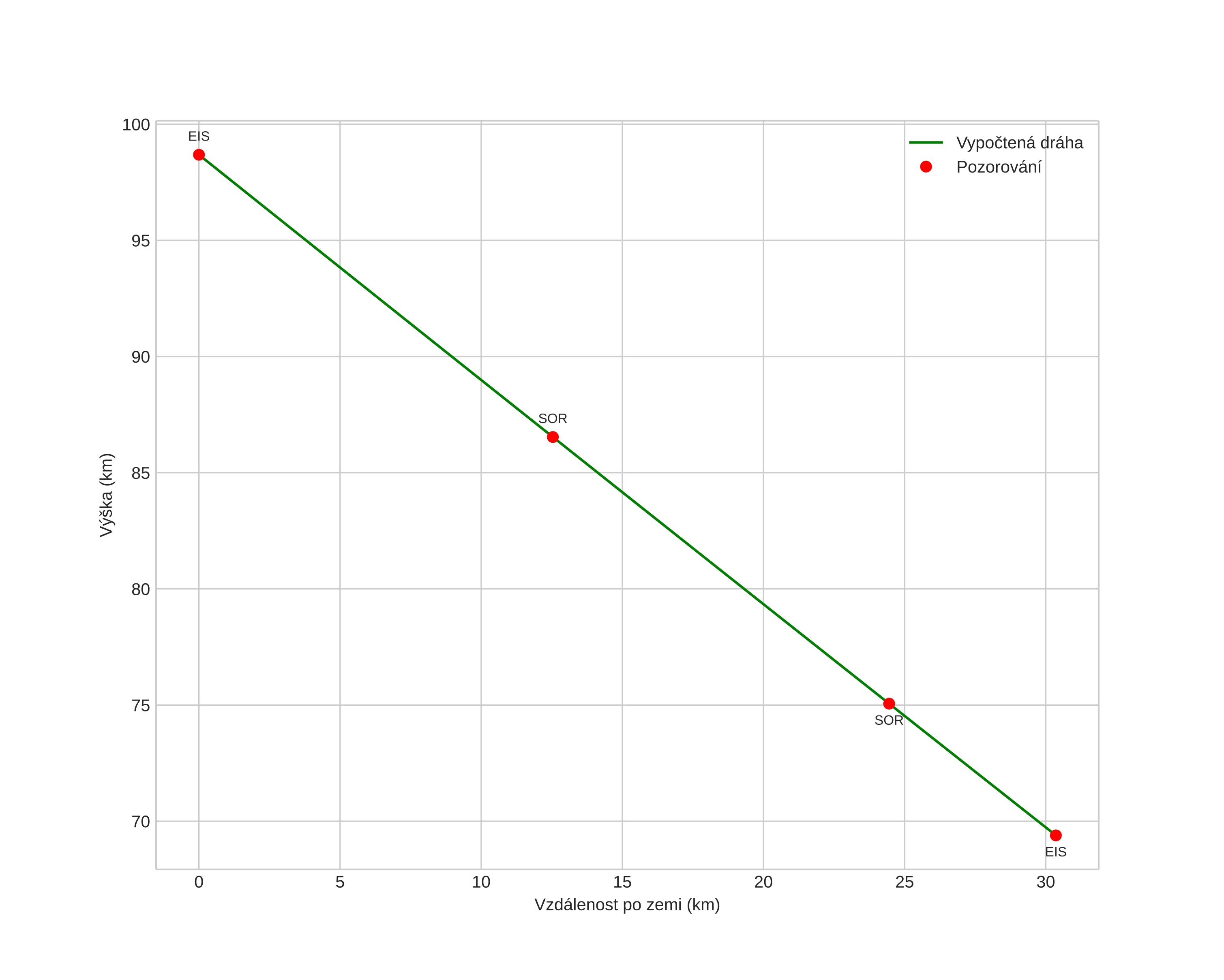
height profile
Atmosférická dráha meteoru:
Počáteční výška: 96,8 km
Konečná výška: 71,3 km
Počáteční poloha: 71,119N 18,900E
Konečná poloha: 71,285N 18,071E
Směr: 302,2°
Sklon: 36,1°
VstupnĂ­ rychlost: 37,9 km/s
Rektascenze radiantu: 07:13 (108,3°)
Deklinace radiantu: 23,5°
MeteorickĂ˝ roj: Geminidy
Elementy dráhy meteoroidu:
Vzdálenost v periheliu: 0,133 AU
Excentricita: 0,929
Sklon dráhy: 2,8°
Délka vzestupného uzlu: 262,2°
Argument perihelia: 322,8°
Střední anomálie: 346,3°
Epocha: 2023 DEC 14 21:10:17
orbit plot

NeinteraktivnĂ­ graf | InteraktivnĂ­ graf

position vs time
speed and acceleration