🇳🇴 🇬🇧 🇩🇪 🇨🇿 🇫🇮

Meteor Tromsøin yllä 2023-12-14 21:10:17 UTC

KML-tiedosto  |  Interaktiivinen kartta

Kartta näyttää meteorin suuntahavainnot. Vaaleammat viivat näyttävät suunnat havaintoasemilta meteorin ilmestyessä, ja tummemmat viivat näyttävät, missä se viimeksi nähtiin. Sininen nuoli näyttää meteorin näkyvän lennon.

static map
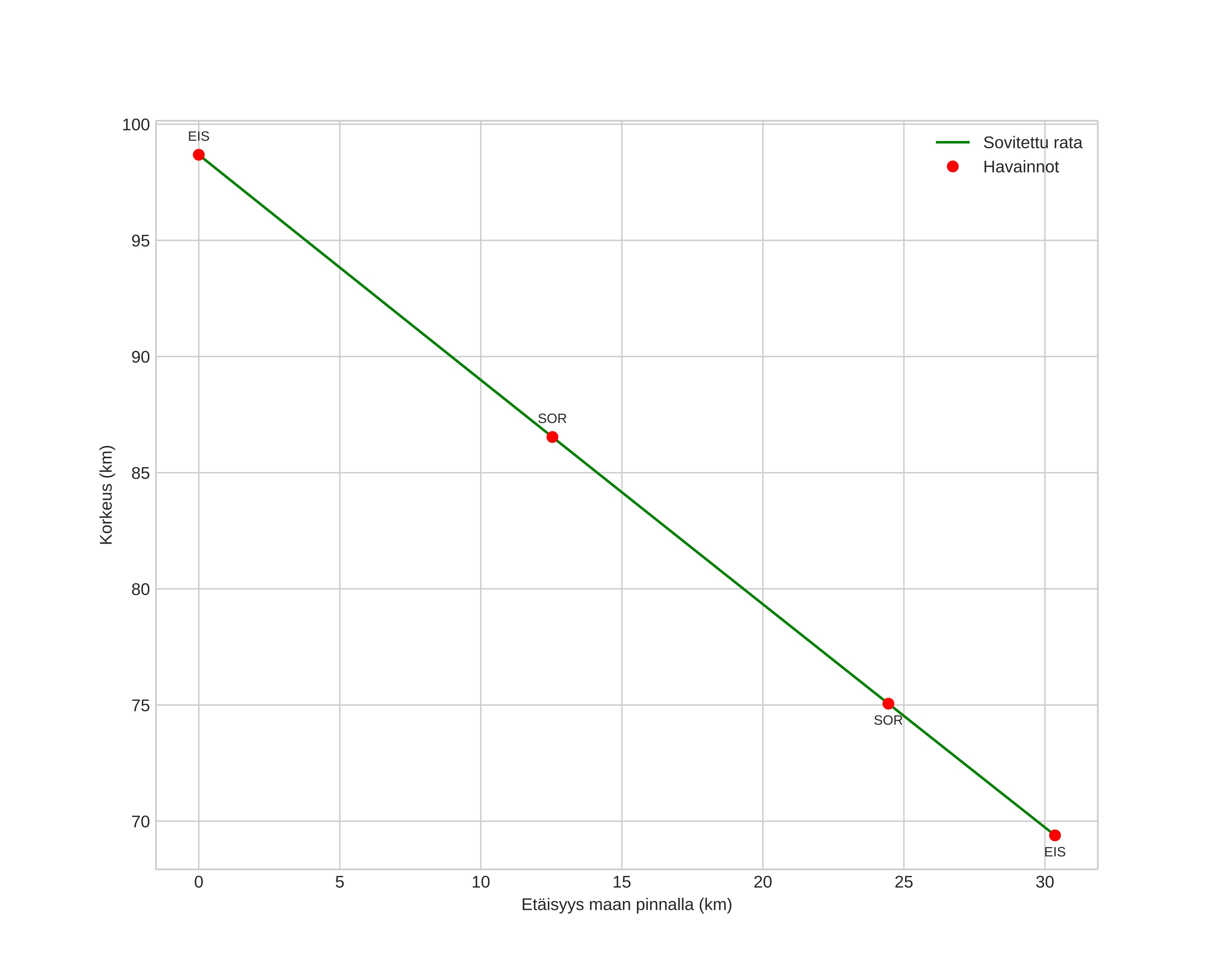
height profile
Meteorin ilmakehärata:
Alkukorkeus: 96,8 km
Loppukorkeus: 71,3 km
Alkupiste: 71,119N 18,900E
Loppupiste: 71,285N 18,071E
Suunta: 302,2°
Kallistuskulma: 36,1°
Tulonopeus: 37,9 km/s
Radiantin R,A,: 07:13 (108,3°)
Radiantin Dekl,: 23,5°
Meteoriparvi: Geminidit
Meteoroidin rataelementit:
Perihelietäisyys: 0,133 AU
Eksentrisyys: 0,929
Inklinaatio: 2,8°
Nousevan solmun pituus: 262,2°
Perihelin argumentti: 322,8°
Keskianomalia: 346,3°
Epookki: 2023 DEC 14 21:10:17
orbit plot

Ei-interaktiivinen kuvaaja | Interaktiivinen kuvaaja

position vs time
speed and acceleration