🇳🇴 🇬🇧 🇩🇪 🇨🇿 🇫🇮

Meteor, poloha: Kárášjohka 2023-12-14 21:19:08 UTC

Soubor KML  |  InteraktivnĂ­ mapa

Mapa zobrazuje dráhy meteoru. Světlejší čáry ukazují směry od pozorovacích stanic při objevení se meteoru a tmavší čáry, kde byl naposledy viděn. Modrá šipka značí viditelnou dráhu meteoru.

static map
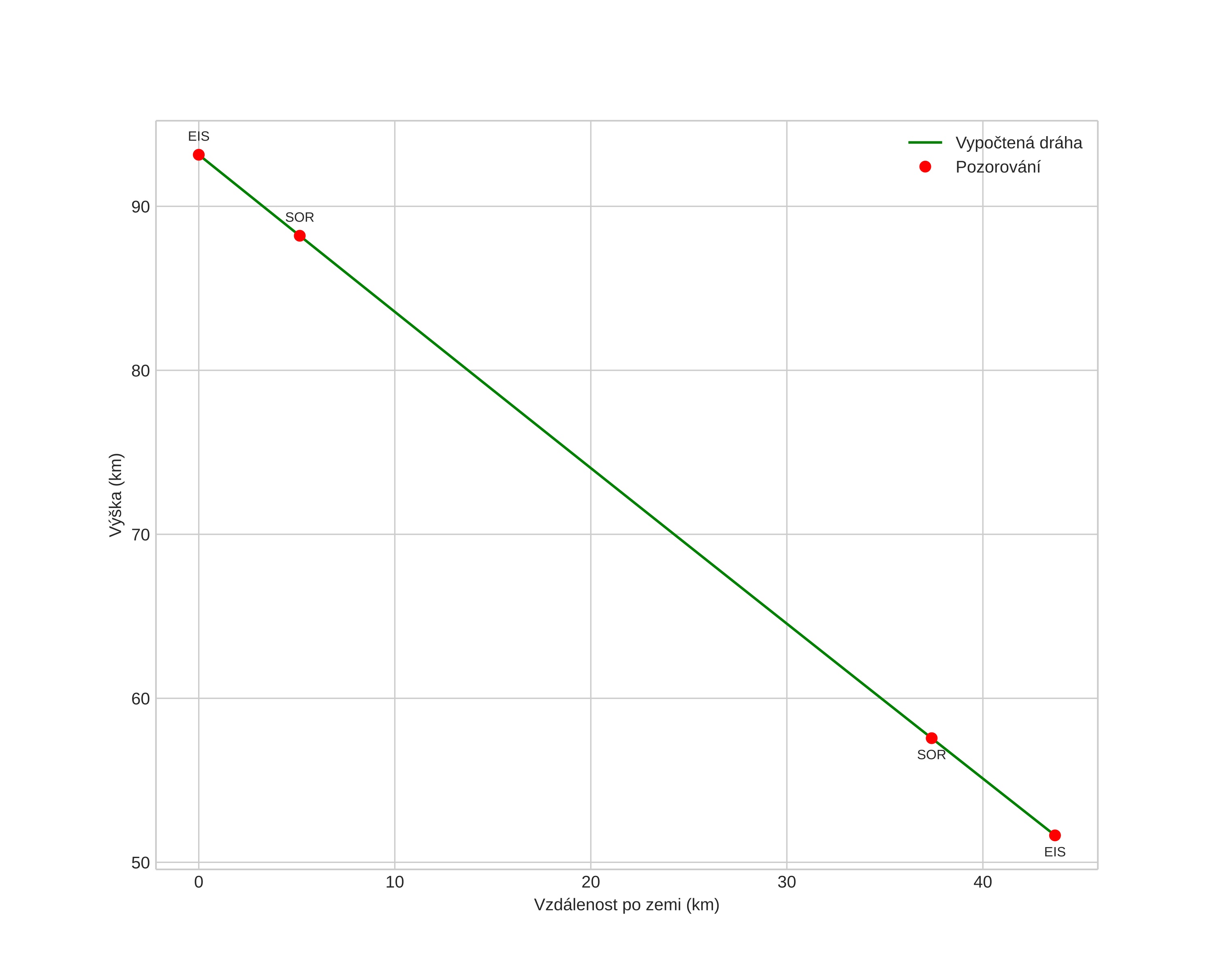
height profile
Atmosférická dráha meteoru:
Počáteční výška: 99,8 km
Konečná výška: 54,8 km
Počáteční poloha: 69,718N 26,714E
Konečná poloha: 69,906N 25,567E
Směr: 295,8°
Sklon: 42,7°
VstupnĂ­ rychlost: 42,5 km/s
Rektascenze radiantu: 08:01 (120,5°)
Deklinace radiantu: 31,0°
MeteorickĂ˝ roj: sporadickĂ˝
Elementy dráhy meteoroidu:
Vzdálenost v periheliu: 0,064 AU
Excentricita: 0,960
Sklon dráhy: 43,1°
Délka vzestupného uzlu: 262,3°
Argument perihelia: 335,5°
Střední anomálie: 343,7°
Epocha: 2023 DEC 14 21:19:08
orbit plot

NeinteraktivnĂ­ graf | InteraktivnĂ­ graf

position vs time
speed and acceleration