🇳🇴 🇬🇧 🇩🇪 🇨🇿 🇫🇮

Meteor Kárášjohkan yllä 2023-12-14 21:19:08 UTC

KML-tiedosto  |  Interaktiivinen kartta

Kartta näyttää meteorin suuntahavainnot. Vaaleammat viivat näyttävät suunnat havaintoasemilta meteorin ilmestyessä, ja tummemmat viivat näyttävät, missä se viimeksi nähtiin. Sininen nuoli näyttää meteorin näkyvän lennon.

static map
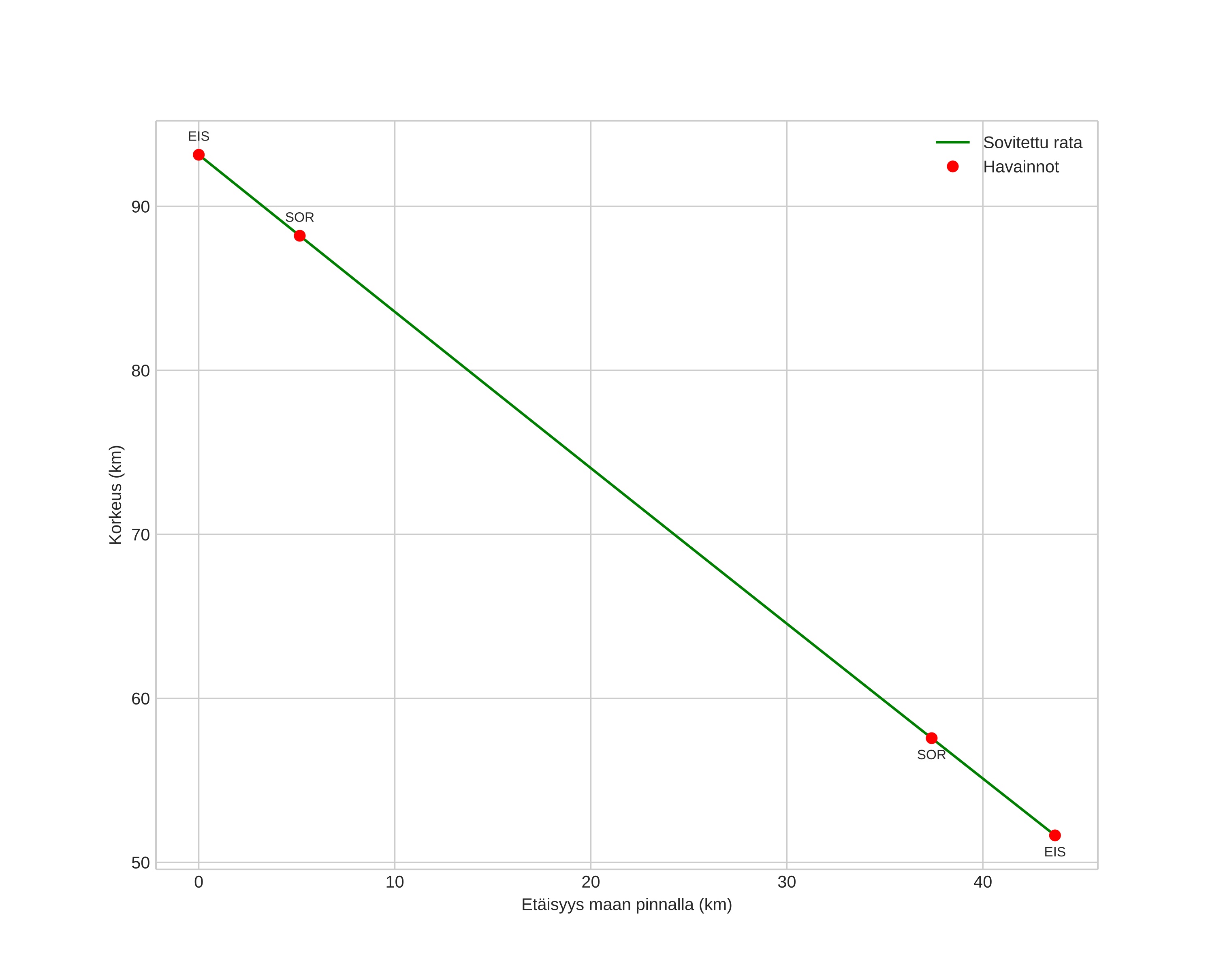
height profile
Meteorin ilmakehärata:
Alkukorkeus: 99,8 km
Loppukorkeus: 54,8 km
Alkupiste: 69,718N 26,714E
Loppupiste: 69,906N 25,567E
Suunta: 295,8°
Kallistuskulma: 42,7°
Tulonopeus: 42,5 km/s
Radiantin R,A,: 08:01 (120,5°)
Radiantin Dekl,: 31,0°
Meteoriparvi: Sporadinen
Meteoroidin rataelementit:
Perihelietäisyys: 0,064 AU
Eksentrisyys: 0,960
Inklinaatio: 43,1°
Nousevan solmun pituus: 262,3°
Perihelin argumentti: 335,5°
Keskianomalia: 343,7°
Epookki: 2023 DEC 14 21:19:08
orbit plot

Ei-interaktiivinen kuvaaja | Interaktiivinen kuvaaja

position vs time
speed and acceleration