🇳🇴 🇬🇧 🇩🇪 🇨🇿 🇫🇮

Meteor, poloha: Finnsnes 2023-12-14 21:35:49 UTC

Soubor KML  |  InteraktivnĂ­ mapa

Mapa zobrazuje dráhy meteoru. Světlejší čáry ukazují směry od pozorovacích stanic při objevení se meteoru a tmavší čáry, kde byl naposledy viděn. Modrá šipka značí viditelnou dráhu meteoru.

static map
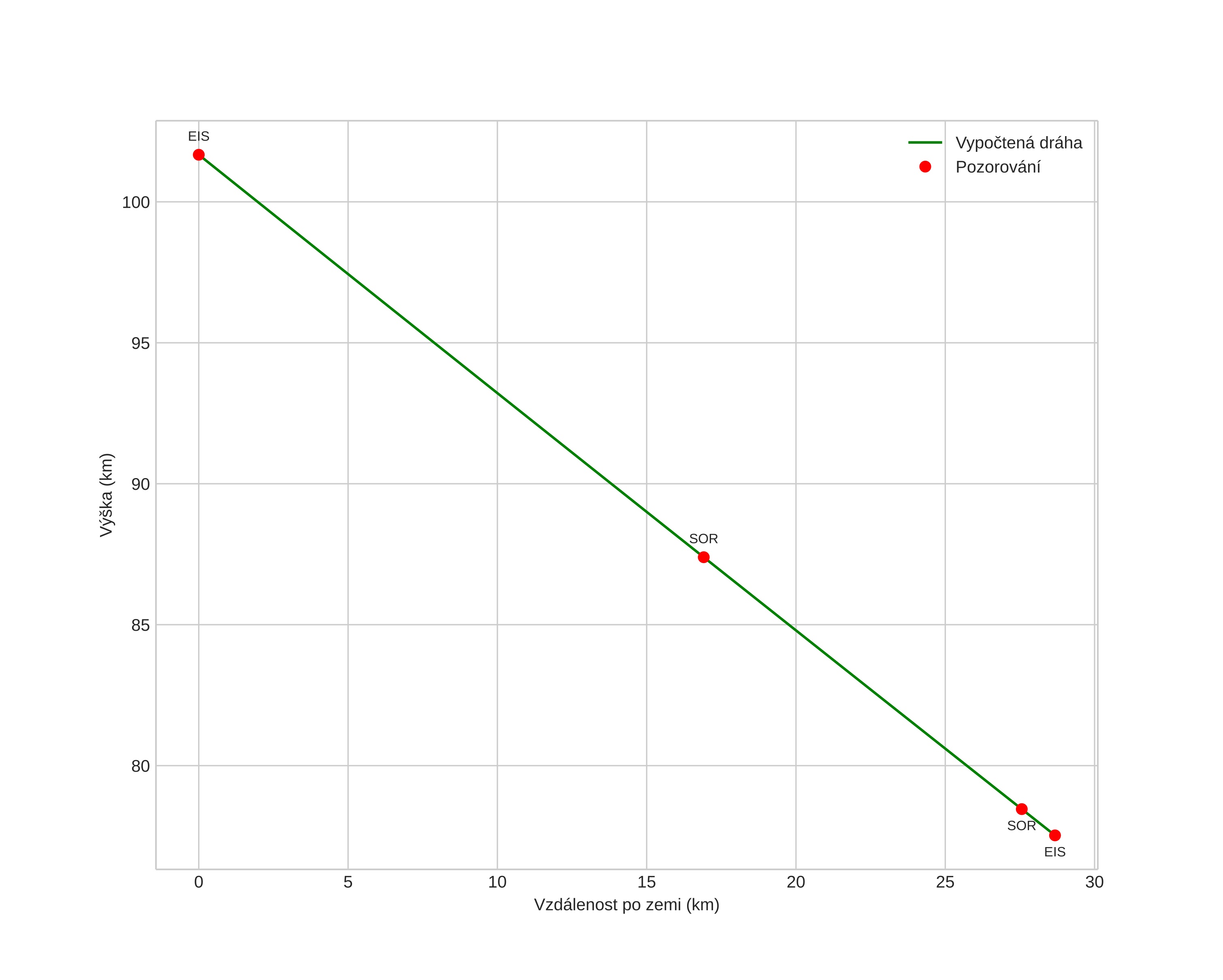
height profile
Atmosférická dráha meteoru:
Počáteční výška: 102,5 km
Konečná výška: 71,0 km
Počáteční poloha: 70,701N 17,928E
Konečná poloha: 70,825N 17,176E
Směr: 297,0°
Sklon: 45,6°
VstupnĂ­ rychlost: 34,6 km/s
Rektascenze radiantu: 07:37 (114,3°)
Deklinace radiantu: 33,7°
MeteorickĂ˝ roj: Geminidy
Elementy dráhy meteoroidu:
Vzdálenost v periheliu: 0,161 AU
Excentricita: 0,869
Sklon dráhy: 24,0°
Délka vzestupného uzlu: 262,3°
Argument perihelia: 323,0°
Střední anomálie: 331,7°
Epocha: 2023 DEC 14 21:35:49
orbit plot

NeinteraktivnĂ­ graf | InteraktivnĂ­ graf

position vs time
speed and acceleration