🇳🇴 🇬🇧 🇩🇪 🇨🇿 🇫🇮

Meteor Finnsnesin yllä 2023-12-14 21:35:49 UTC

KML-tiedosto  |  Interaktiivinen kartta

Kartta näyttää meteorin suuntahavainnot. Vaaleammat viivat näyttävät suunnat havaintoasemilta meteorin ilmestyessä, ja tummemmat viivat näyttävät, missä se viimeksi nähtiin. Sininen nuoli näyttää meteorin näkyvän lennon.

static map
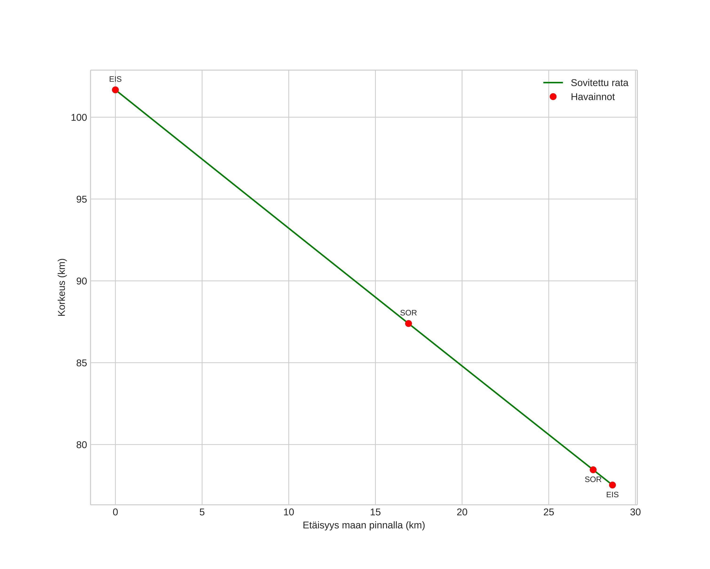
height profile
Meteorin ilmakehärata:
Alkukorkeus: 102,5 km
Loppukorkeus: 71,0 km
Alkupiste: 70,701N 17,928E
Loppupiste: 70,825N 17,176E
Suunta: 297,0°
Kallistuskulma: 45,6°
Tulonopeus: 34,6 km/s
Radiantin R,A,: 07:37 (114,3°)
Radiantin Dekl,: 33,7°
Meteoriparvi: Geminidit
Meteoroidin rataelementit:
Perihelietäisyys: 0,161 AU
Eksentrisyys: 0,869
Inklinaatio: 24,0°
Nousevan solmun pituus: 262,3°
Perihelin argumentti: 323,0°
Keskianomalia: 331,7°
Epookki: 2023 DEC 14 21:35:49
orbit plot

Ei-interaktiivinen kuvaaja | Interaktiivinen kuvaaja

position vs time
speed and acceleration