🇳🇴 🇬🇧 🇩🇪 🇨🇿 🇫🇮

Meteor, poloha: Kautokeino 2023-12-14 21:35:58 UTC

Soubor KML  |  InteraktivnĂ­ mapa

Mapa zobrazuje dráhy meteoru. Světlejší čáry ukazují směry od pozorovacích stanic při objevení se meteoru a tmavší čáry, kde byl naposledy viděn. Modrá šipka značí viditelnou dráhu meteoru.

static map
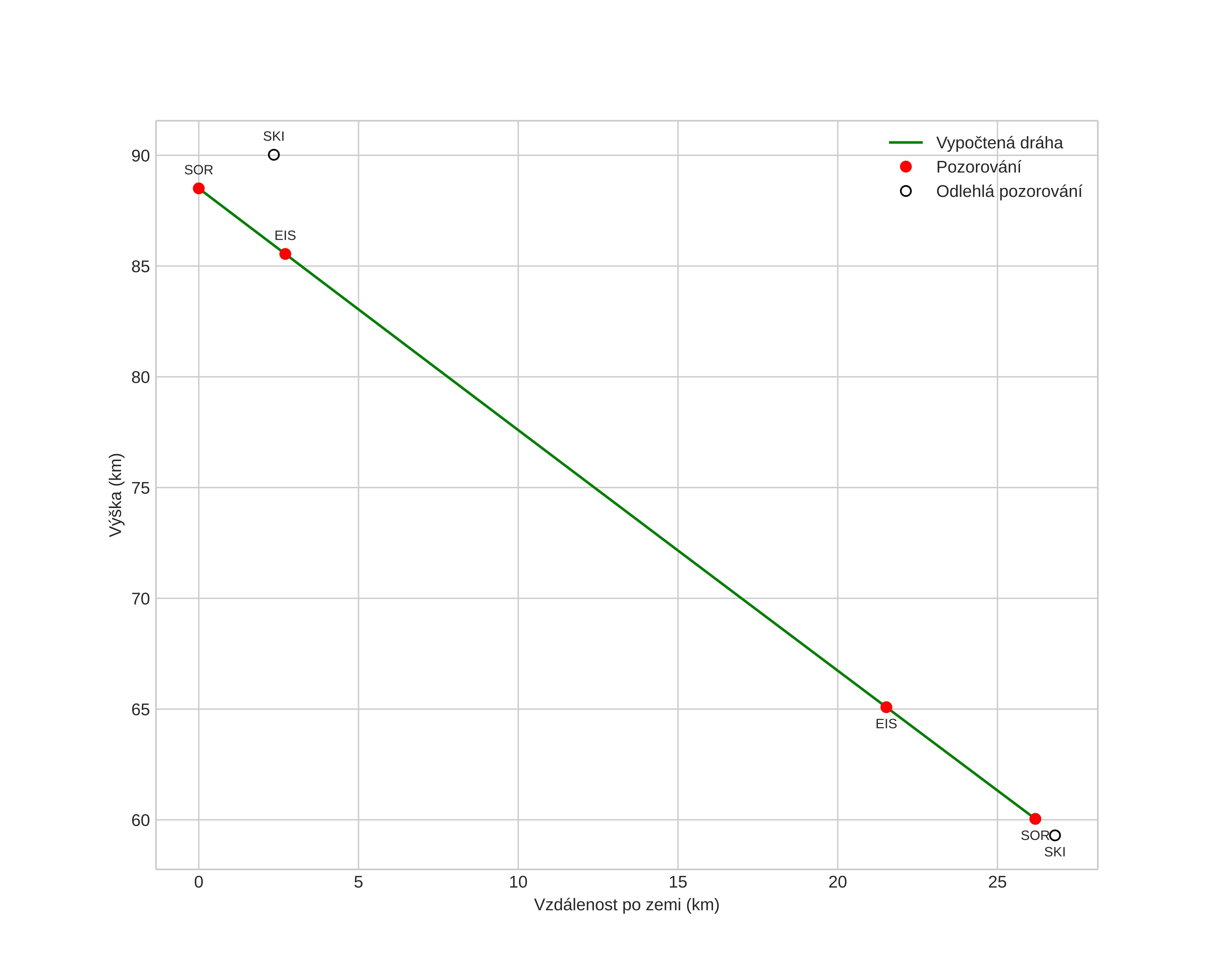
height profile
Atmosférická dráha meteoru:
Počáteční výška: 85,8 km
Konečná výška: 54,1 km
Počáteční poloha: 68,833N 22,738E
Konečná poloha: 68,976N 22,130E
Směr: 303,5°
Sklon: 47,4°
VstupnĂ­ rychlost: 34,9 km/s
Rektascenze radiantu: 07:29 (112,3°)
Deklinace radiantu: 32,5°
MeteorickĂ˝ roj: Geminidy
Elementy dráhy meteoroidu:
Vzdálenost v periheliu: 0,164 AU
Excentricita: 0,876
Sklon dráhy: 21,0°
Délka vzestupného uzlu: 262,3°
Argument perihelia: 321,6°
Střední anomálie: 335,1°
Epocha: 2023 DEC 14 21:35:58
orbit plot

NeinteraktivnĂ­ graf | InteraktivnĂ­ graf

position vs time
speed and acceleration