🇳🇴 🇬🇧 🇩🇪 🇨🇿 🇫🇮

Meteor Kautokeinon yllä 2023-12-14 21:35:58 UTC

KML-tiedosto  |  Interaktiivinen kartta

Kartta näyttää meteorin suuntahavainnot. Vaaleammat viivat näyttävät suunnat havaintoasemilta meteorin ilmestyessä, ja tummemmat viivat näyttävät, missä se viimeksi nähtiin. Sininen nuoli näyttää meteorin näkyvän lennon.

static map
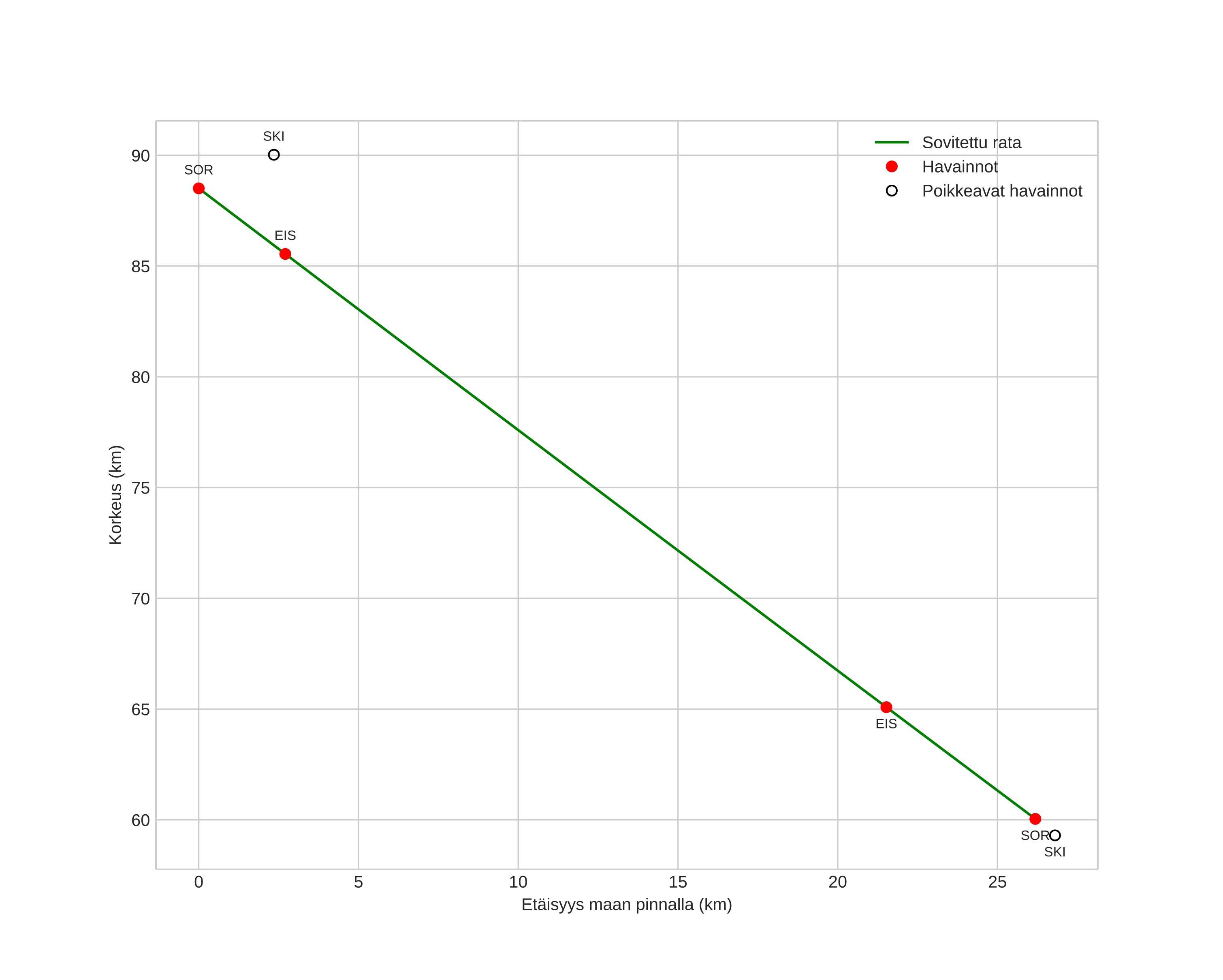
height profile
Meteorin ilmakehärata:
Alkukorkeus: 85,8 km
Loppukorkeus: 54,1 km
Alkupiste: 68,833N 22,738E
Loppupiste: 68,976N 22,130E
Suunta: 303,5°
Kallistuskulma: 47,4°
Tulonopeus: 34,9 km/s
Radiantin R,A,: 07:29 (112,3°)
Radiantin Dekl,: 32,5°
Meteoriparvi: Geminidit
Meteoroidin rataelementit:
Perihelietäisyys: 0,164 AU
Eksentrisyys: 0,876
Inklinaatio: 21,0°
Nousevan solmun pituus: 262,3°
Perihelin argumentti: 321,6°
Keskianomalia: 335,1°
Epookki: 2023 DEC 14 21:35:58
orbit plot

Ei-interaktiivinen kuvaaja | Interaktiivinen kuvaaja

position vs time
speed and acceleration