🇳🇴 🇬🇧 🇩🇪 🇨🇿 🇫🇮

Meteor, poloha: Svolvær 2023-12-14 21:36:12 UTC

Soubor KML  |  InteraktivnĂ­ mapa

Mapa zobrazuje dráhy meteoru. Světlejší čáry ukazují směry od pozorovacích stanic při objevení se meteoru a tmavší čáry, kde byl naposledy viděn. Modrá šipka značí viditelnou dráhu meteoru.

static map
height profile
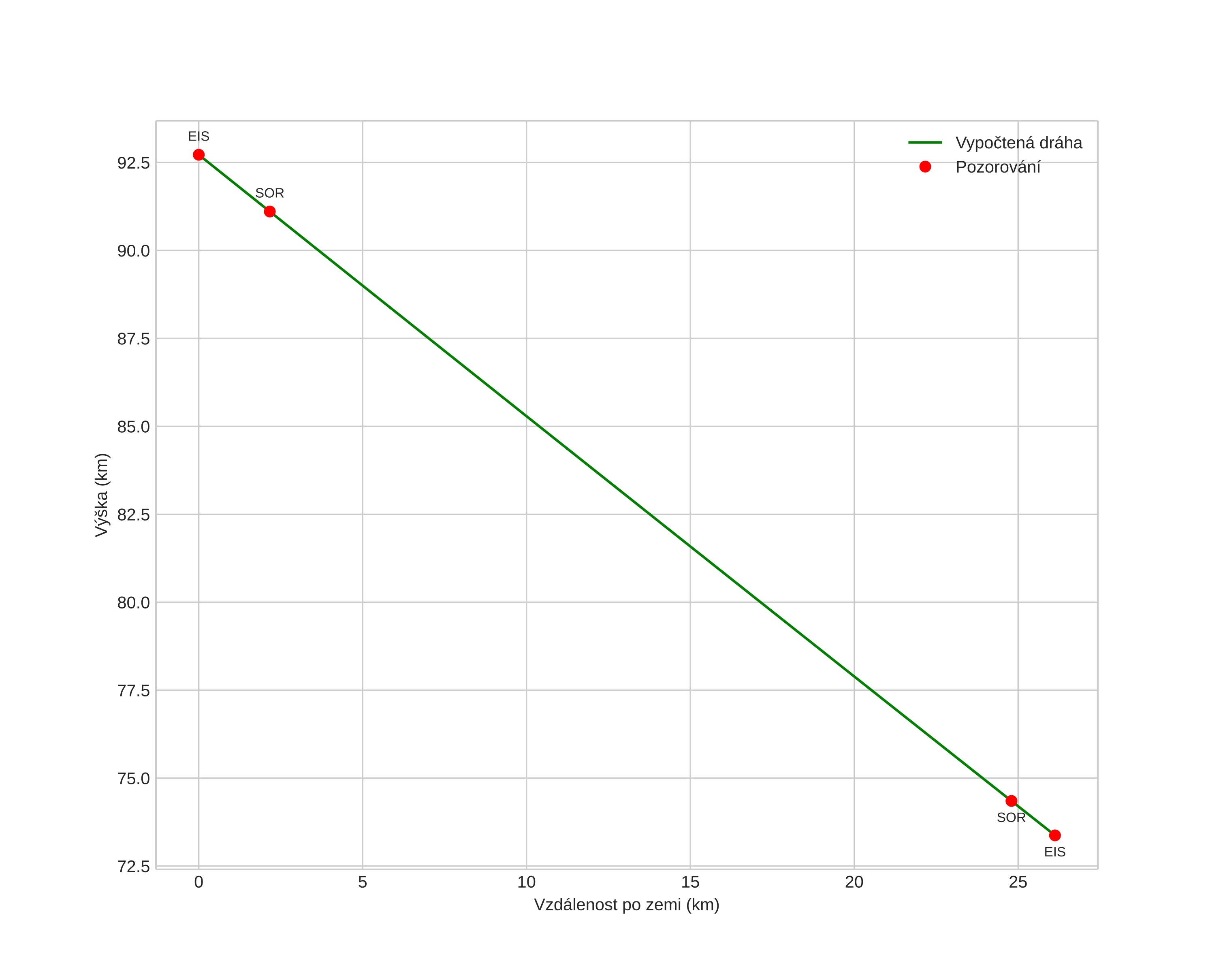
Atmosférická dráha meteoru:
Počáteční výška: 93,5 km
Konečná výška: 72,7 km
Počáteční poloha: 68,083N 15,091E
Konečná poloha: 68,263N 14,674E
Směr: 319,5°
Sklon: 38,2°
VstupnĂ­ rychlost: 32,3 km/s
Rektascenze radiantu: 06:20 (95,2°)
Deklinace radiantu: 18,8°
MeteorickĂ˝ roj: sporadickĂ˝
Elementy dráhy meteoroidu:
Vzdálenost v periheliu: 0,332 AU
Excentricita: 0,865
Sklon dráhy: 5,7°
Délka vzestupného uzlu: 82,3°
Argument perihelia: 115,4°
Střední anomálie: 349,6°
Epocha: 2023 DEC 14 21:36:12
orbit plot

NeinteraktivnĂ­ graf | InteraktivnĂ­ graf

position vs time
speed and acceleration