🇳🇴 🇬🇧 🇩🇪 🇨🇿 🇫🇮

Meteor Svolværin yllä 2023-12-14 21:36:12 UTC

KML-tiedosto  |  Interaktiivinen kartta

Kartta näyttää meteorin suuntahavainnot. Vaaleammat viivat näyttävät suunnat havaintoasemilta meteorin ilmestyessä, ja tummemmat viivat näyttävät, missä se viimeksi nähtiin. Sininen nuoli näyttää meteorin näkyvän lennon.

static map
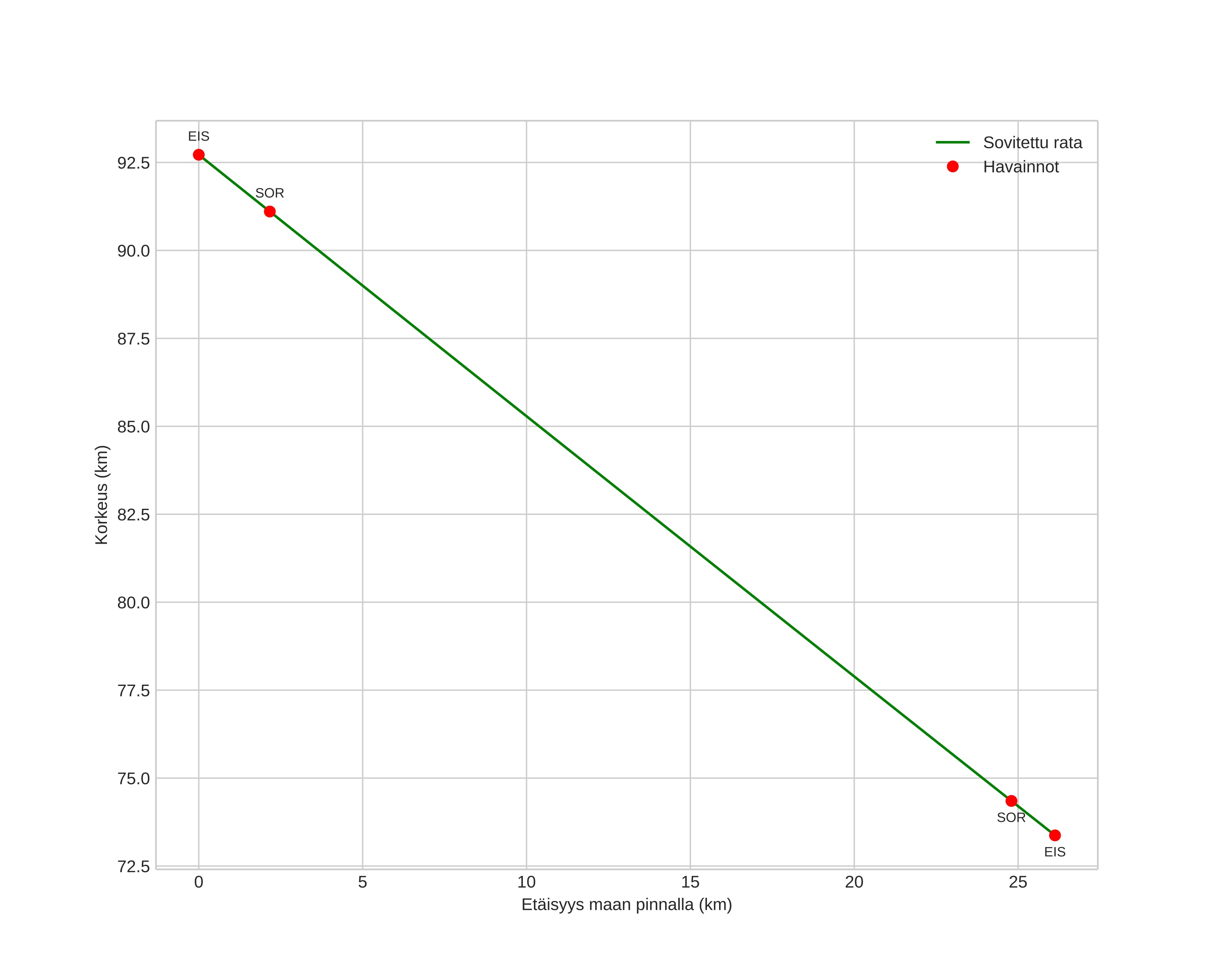
height profile
Meteorin ilmakehärata:
Alkukorkeus: 93,5 km
Loppukorkeus: 72,7 km
Alkupiste: 68,083N 15,091E
Loppupiste: 68,263N 14,674E
Suunta: 319,5°
Kallistuskulma: 38,2°
Tulonopeus: 32,3 km/s
Radiantin R,A,: 06:20 (95,2°)
Radiantin Dekl,: 18,8°
Meteoriparvi: Sporadinen
Meteoroidin rataelementit:
Perihelietäisyys: 0,332 AU
Eksentrisyys: 0,865
Inklinaatio: 5,7°
Nousevan solmun pituus: 82,3°
Perihelin argumentti: 115,4°
Keskianomalia: 349,6°
Epookki: 2023 DEC 14 21:36:12
orbit plot

Ei-interaktiivinen kuvaaja | Interaktiivinen kuvaaja

position vs time
speed and acceleration