🇳🇴 🇬🇧 🇩🇪 🇨🇿 🇫🇮

Meteor, poloha: Storslett 2023-12-14 21:51:09 UTC

Soubor KML  |  InteraktivnĂ­ mapa

Mapa zobrazuje dráhy meteoru. Světlejší čáry ukazují směry od pozorovacích stanic při objevení se meteoru a tmavší čáry, kde byl naposledy viděn. Modrá šipka značí viditelnou dráhu meteoru.

static map
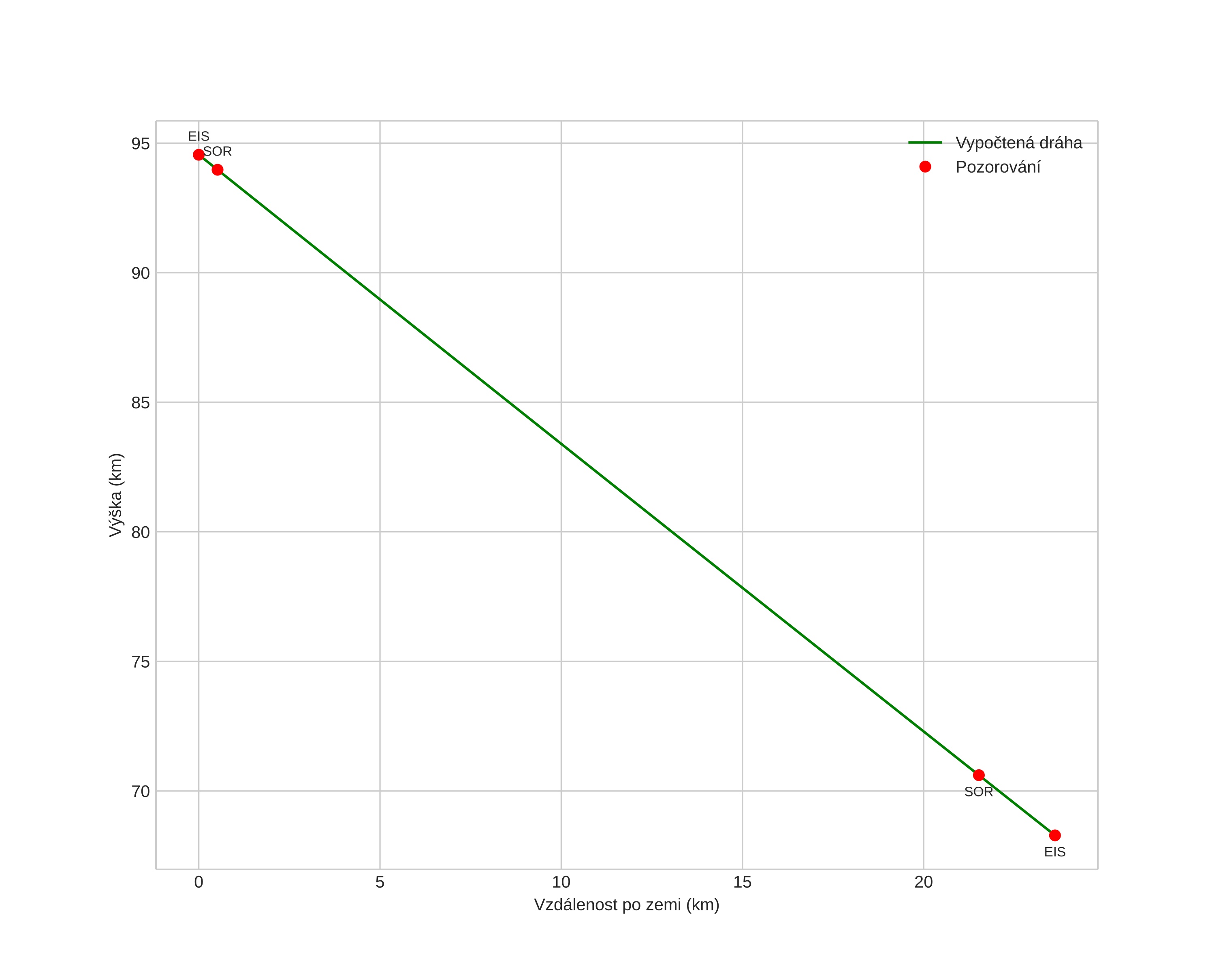
height profile
Atmosférická dráha meteoru:
Počáteční výška: 96,5 km
Konečná výška: 66,4 km
Počáteční poloha: 68,940N 22,025E
Konečná poloha: 69,080N 21,453E
Směr: 304,5°
Sklon: 47,5°
VstupnĂ­ rychlost: 38,5 km/s
Rektascenze radiantu: 07:38 (114,6°)
Deklinace radiantu: 32,6°
MeteorickĂ˝ roj: Geminidy
Elementy dráhy meteoroidu:
Vzdálenost v periheliu: 0,124 AU
Excentricita: 0,921
Sklon dráhy: 28,3°
Délka vzestupného uzlu: 262,3°
Argument perihelia: 325,5°
Střední anomálie: 342,0°
Epocha: 2023 DEC 14 21:51:09
orbit plot

NeinteraktivnĂ­ graf | InteraktivnĂ­ graf

position vs time
speed and acceleration