🇳🇴 🇬🇧 🇩🇪 🇨🇿 🇫🇮

Meteor Storslettin yllä 2023-12-14 21:51:09 UTC

KML-tiedosto  |  Interaktiivinen kartta

Kartta näyttää meteorin suuntahavainnot. Vaaleammat viivat näyttävät suunnat havaintoasemilta meteorin ilmestyessä, ja tummemmat viivat näyttävät, missä se viimeksi nähtiin. Sininen nuoli näyttää meteorin näkyvän lennon.

static map
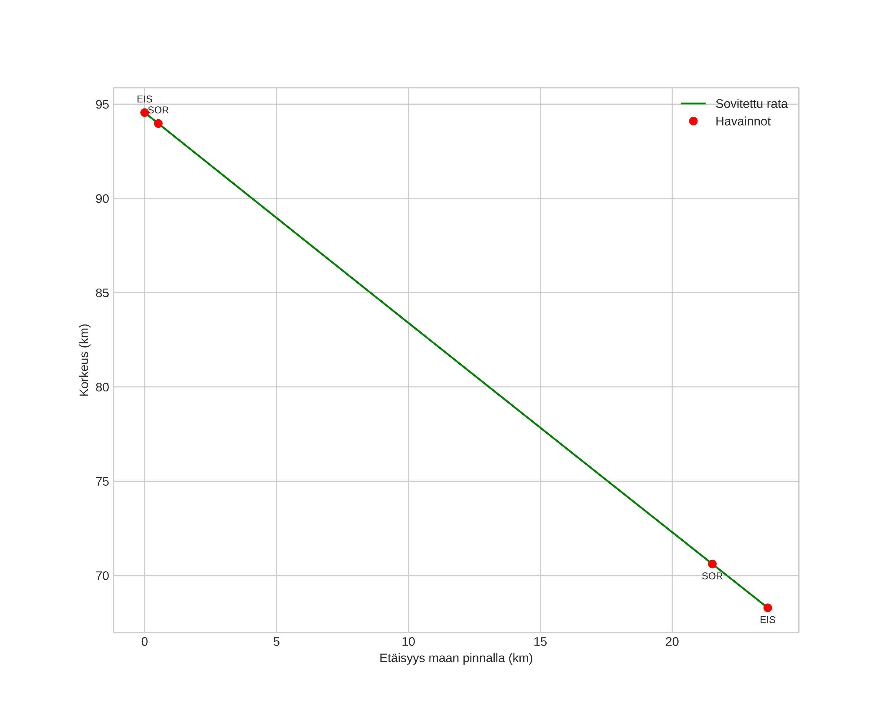
height profile
Meteorin ilmakehärata:
Alkukorkeus: 96,5 km
Loppukorkeus: 66,4 km
Alkupiste: 68,940N 22,025E
Loppupiste: 69,080N 21,453E
Suunta: 304,5°
Kallistuskulma: 47,5°
Tulonopeus: 38,5 km/s
Radiantin R,A,: 07:38 (114,6°)
Radiantin Dekl,: 32,6°
Meteoriparvi: Geminidit
Meteoroidin rataelementit:
Perihelietäisyys: 0,124 AU
Eksentrisyys: 0,921
Inklinaatio: 28,3°
Nousevan solmun pituus: 262,3°
Perihelin argumentti: 325,5°
Keskianomalia: 342,0°
Epookki: 2023 DEC 14 21:51:09
orbit plot

Ei-interaktiivinen kuvaaja | Interaktiivinen kuvaaja

position vs time
speed and acceleration