🇳🇴 🇬🇧 🇩🇪 🇨🇿 🇫🇮

Meteor, poloha: Straume 2023-12-14 21:59:44 UTC

Soubor KML  |  InteraktivnĂ­ mapa

Mapa zobrazuje dráhy meteoru. Světlejší čáry ukazují směry od pozorovacích stanic při objevení se meteoru a tmavší čáry, kde byl naposledy viděn. Modrá šipka značí viditelnou dráhu meteoru.

static map
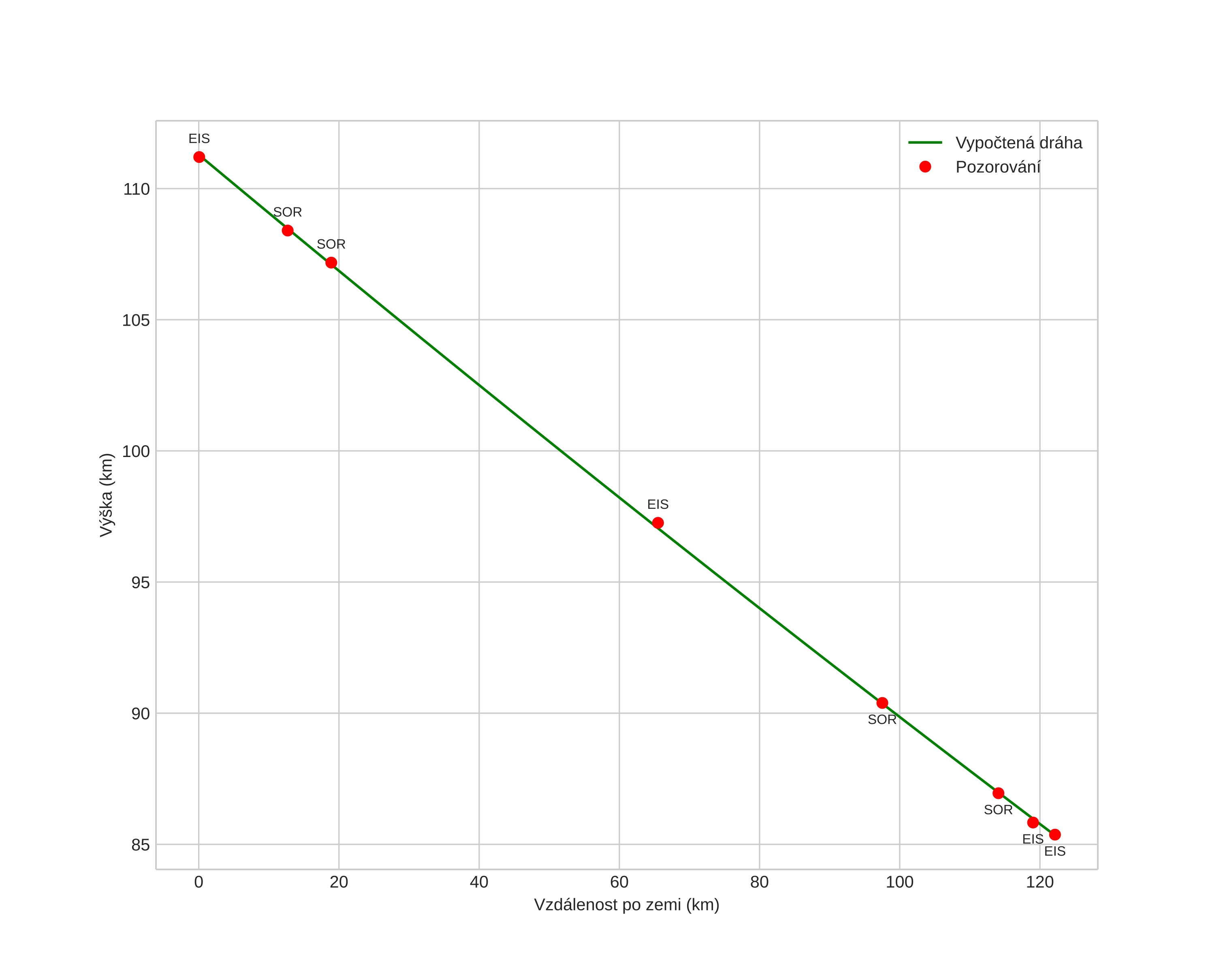
height profile
Atmosférická dráha meteoru:
Počáteční výška: 112,4 km
Konečná výška: 85,6 km
Počáteční poloha: 68,378N 17,445E
Konečná poloha: 68,860N 14,615E
Směr: 296,3°
Sklon: 12,0°
VstupnĂ­ rychlost: 62,2 km/s
Rektascenze radiantu: 08:47 (131,8°)
Deklinace radiantu: 1,2°
MeteorickĂ˝ roj: Sigma Hydridy
Elementy dráhy meteoroidu:
Vzdálenost v periheliu: 0,287 AU
Excentricita: 1,024
Sklon dráhy: 132,9°
Délka vzestupného uzlu: 82,3°
Argument perihelia: 113,6°
Střední anomálie: -0,8°
Epocha: 2023 DEC 14 21:59:44
orbit plot

NeinteraktivnĂ­ graf | InteraktivnĂ­ graf

position vs time
speed and acceleration