🇳🇴 🇬🇧 🇩🇪 🇨🇿 🇫🇮

Meteor Straumen yllä 2023-12-14 21:59:44 UTC

KML-tiedosto  |  Interaktiivinen kartta

Kartta näyttää meteorin suuntahavainnot. Vaaleammat viivat näyttävät suunnat havaintoasemilta meteorin ilmestyessä, ja tummemmat viivat näyttävät, missä se viimeksi nähtiin. Sininen nuoli näyttää meteorin näkyvän lennon.

static map
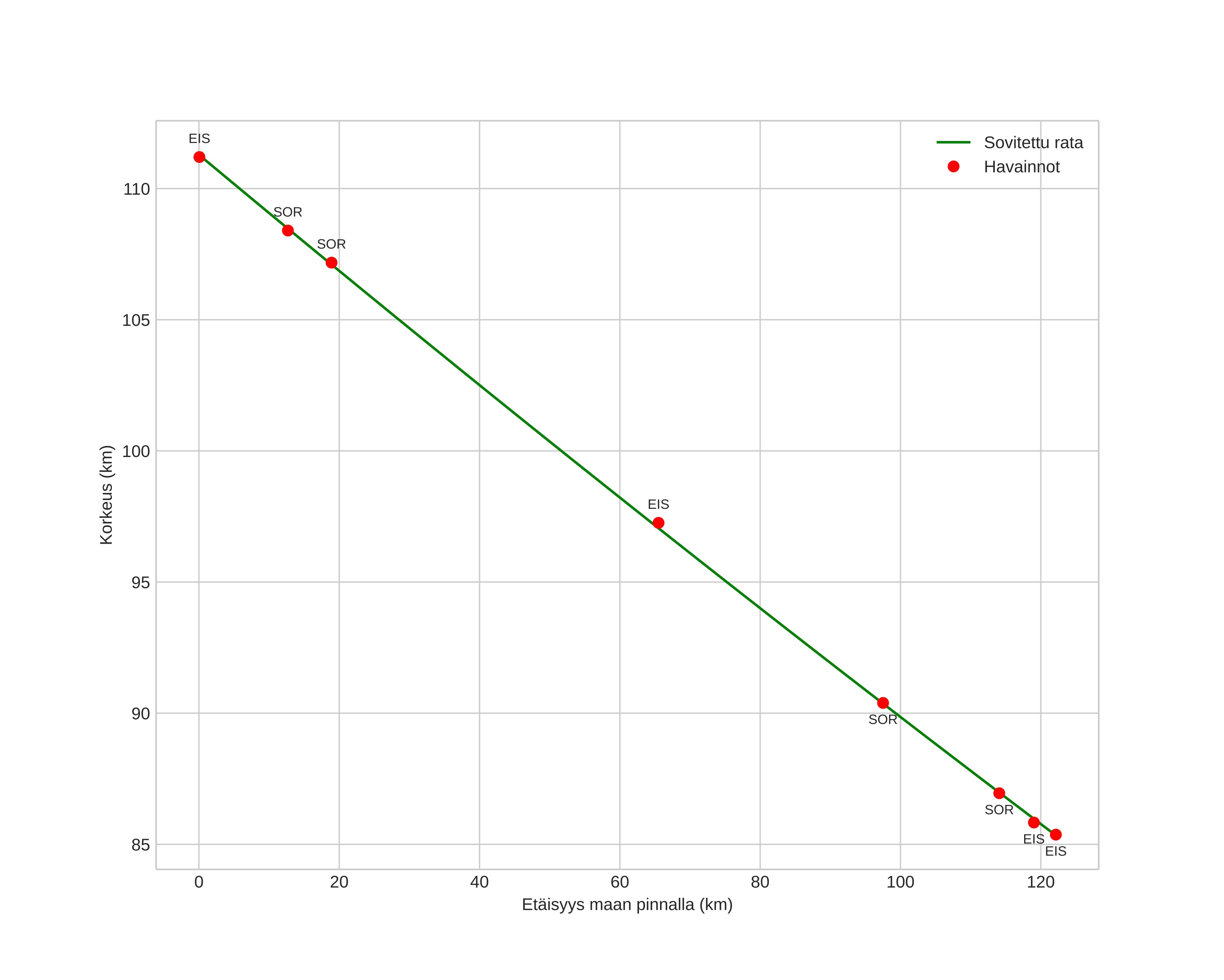
height profile
Meteorin ilmakehärata:
Alkukorkeus: 112,4 km
Loppukorkeus: 85,6 km
Alkupiste: 68,378N 17,445E
Loppupiste: 68,860N 14,615E
Suunta: 296,3°
Kallistuskulma: 12,0°
Tulonopeus: 62,2 km/s
Radiantin R,A,: 08:47 (131,8°)
Radiantin Dekl,: 1,2°
Meteoriparvi: Sigma-hydridit
Meteoroidin rataelementit:
Perihelietäisyys: 0,287 AU
Eksentrisyys: 1,024
Inklinaatio: 132,9°
Nousevan solmun pituus: 82,3°
Perihelin argumentti: 113,6°
Keskianomalia: -0,8°
Epookki: 2023 DEC 14 21:59:44
orbit plot

Ei-interaktiivinen kuvaaja | Interaktiivinen kuvaaja

position vs time
speed and acceleration