🇳🇴 🇬🇧 🇩🇪 🇨🇿 🇫🇮

Meteor, poloha: Myre 2023-12-14 22:52:18 UTC

Soubor KML  |  InteraktivnĂ­ mapa

Mapa zobrazuje dráhy meteoru. Světlejší čáry ukazují směry od pozorovacích stanic při objevení se meteoru a tmavší čáry, kde byl naposledy viděn. Modrá šipka značí viditelnou dráhu meteoru.

static map
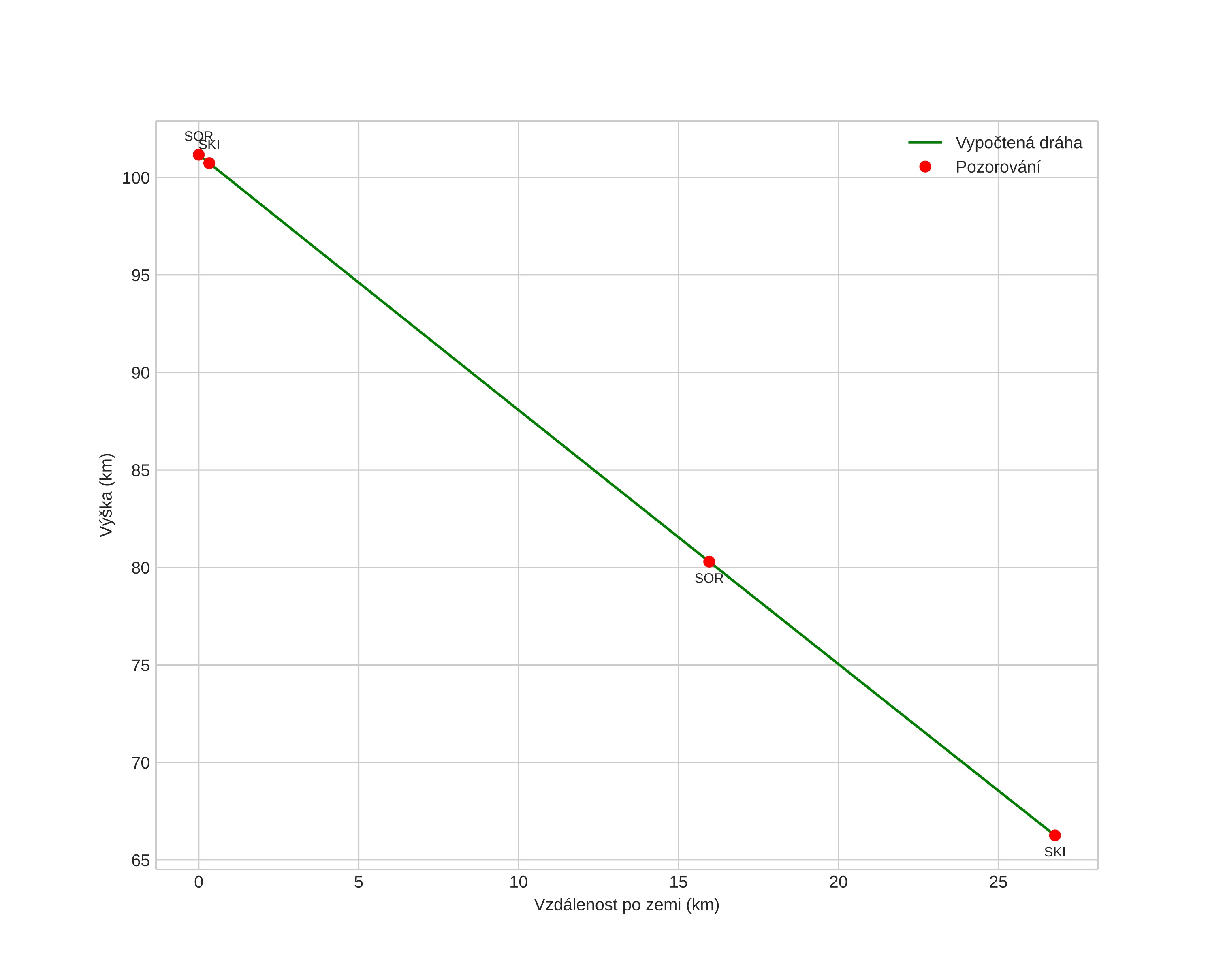
height profile
Atmosférická dráha meteoru:
Počáteční výška: 101,1 km
Konečná výška: 69,1 km
Počáteční poloha: 68,746N 15,380E
Konečná poloha: 68,917N 15,001E
Směr: 321,6°
Sklon: 52,7°
VstupnĂ­ rychlost: 38,9 km/s
Rektascenze radiantu: 07:14 (108,6°)
Deklinace radiantu: 33,9°
MeteorickĂ˝ roj: Geminidy
Elementy dráhy meteoroidu:
Vzdálenost v periheliu: 0,174 AU
Excentricita: 0,929
Sklon dráhy: 25,1°
Délka vzestupného uzlu: 262,3°
Argument perihelia: 315,2°
Střední anomálie: 350,8°
Epocha: 2023 DEC 14 22:52:18
orbit plot

NeinteraktivnĂ­ graf | InteraktivnĂ­ graf

position vs time
speed and acceleration