🇳🇴 🇬🇧 🇩🇪 🇨🇿 🇫🇮

Meteor Myren yllä 2023-12-14 22:52:18 UTC

KML-tiedosto  |  Interaktiivinen kartta

Kartta näyttää meteorin suuntahavainnot. Vaaleammat viivat näyttävät suunnat havaintoasemilta meteorin ilmestyessä, ja tummemmat viivat näyttävät, missä se viimeksi nähtiin. Sininen nuoli näyttää meteorin näkyvän lennon.

static map
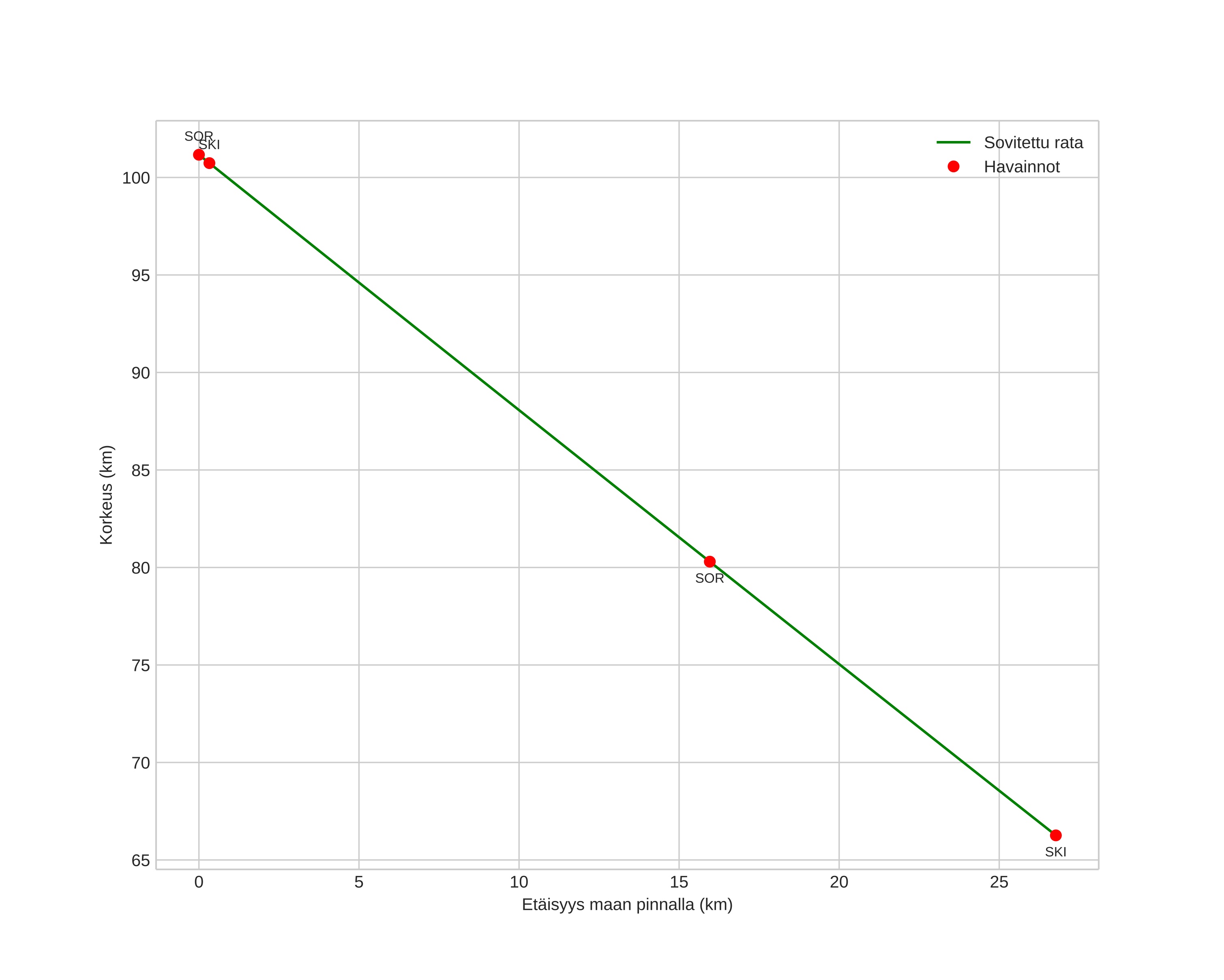
height profile
Meteorin ilmakehärata:
Alkukorkeus: 101,1 km
Loppukorkeus: 69,1 km
Alkupiste: 68,746N 15,380E
Loppupiste: 68,917N 15,001E
Suunta: 321,6°
Kallistuskulma: 52,7°
Tulonopeus: 38,9 km/s
Radiantin R,A,: 07:14 (108,6°)
Radiantin Dekl,: 33,9°
Meteoriparvi: Geminidit
Meteoroidin rataelementit:
Perihelietäisyys: 0,174 AU
Eksentrisyys: 0,929
Inklinaatio: 25,1°
Nousevan solmun pituus: 262,3°
Perihelin argumentti: 315,2°
Keskianomalia: 350,8°
Epookki: 2023 DEC 14 22:52:18
orbit plot

Ei-interaktiivinen kuvaaja | Interaktiivinen kuvaaja

position vs time
speed and acceleration