🇳🇴 🇬🇧 🇩🇪 🇨🇿 🇫🇮

Meteor, poloha: Arjeplog 2023-12-14 22:56:45 UTC

Soubor KML  |  InteraktivnĂ­ mapa

Mapa zobrazuje dráhy meteoru. Světlejší čáry ukazují směry od pozorovacích stanic při objevení se meteoru a tmavší čáry, kde byl naposledy viděn. Modrá šipka značí viditelnou dráhu meteoru.

static map
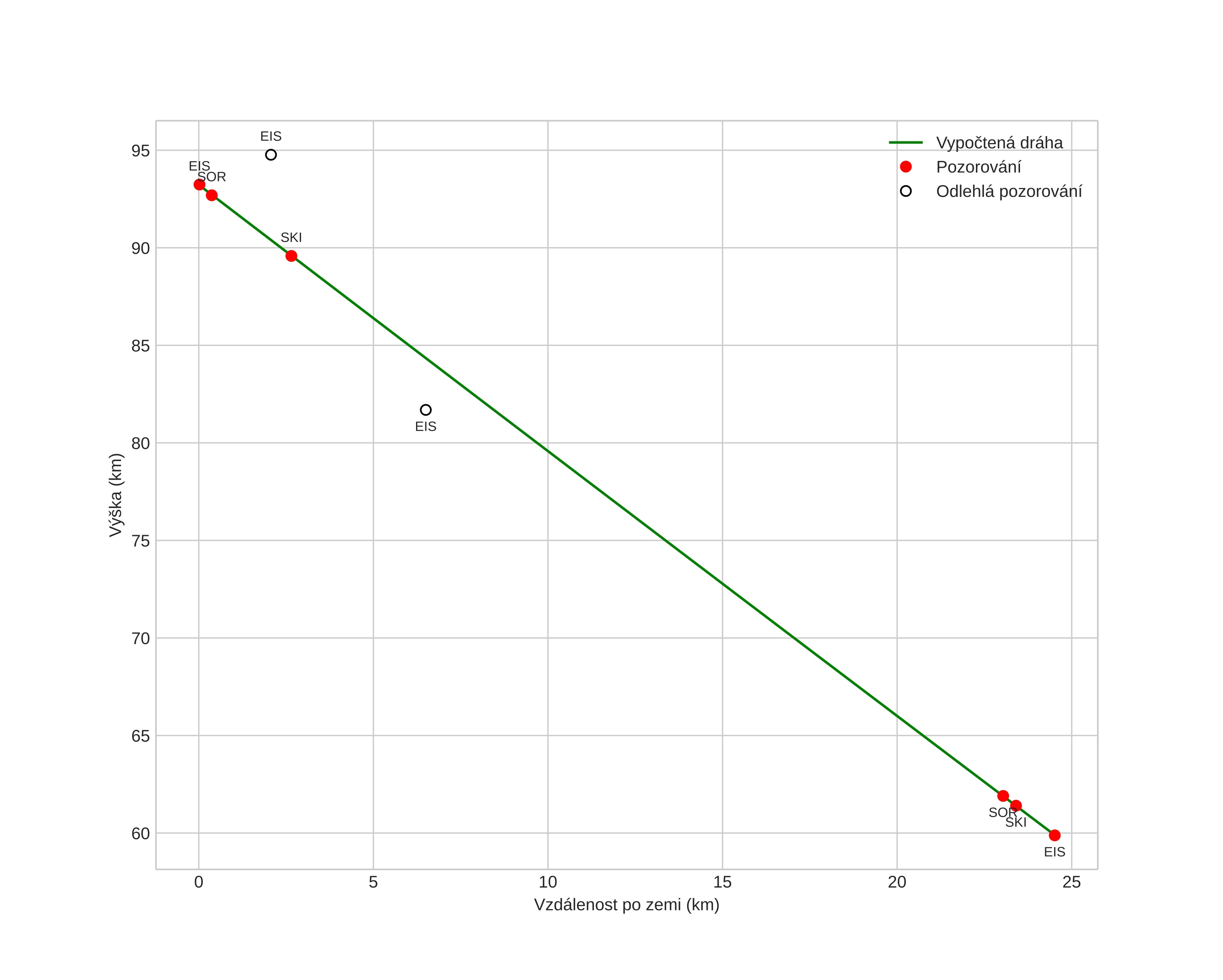
height profile
Atmosférická dráha meteoru:
Počáteční výška: 98,1 km
Konečná výška: 58,7 km
Počáteční poloha: 67,046N 18,098E
Konečná poloha: 67,226N 17,604E
Směr: 313,5°
Sklon: 53,4°
VstupnĂ­ rychlost: 33,5 km/s
Rektascenze radiantu: 07:49 (117,3°)
Deklinace radiantu: 34,4°
MeteorickĂ˝ roj: Geminidy
Elementy dráhy meteoroidu:
Vzdálenost v periheliu: 0,157 AU
Excentricita: 0,853
Sklon dráhy: 26,0°
Délka vzestupného uzlu: 262,4°
Argument perihelia: 325,6°
Střední anomálie: 324,2°
Epocha: 2023 DEC 14 22:56:45
orbit plot

NeinteraktivnĂ­ graf | InteraktivnĂ­ graf

position vs time
speed and acceleration