🇳🇴 🇬🇧 🇩🇪 🇨🇿 🇫🇮

Meteor Arjeplogin yllä 2023-12-14 22:56:45 UTC

KML-tiedosto  |  Interaktiivinen kartta

Kartta näyttää meteorin suuntahavainnot. Vaaleammat viivat näyttävät suunnat havaintoasemilta meteorin ilmestyessä, ja tummemmat viivat näyttävät, missä se viimeksi nähtiin. Sininen nuoli näyttää meteorin näkyvän lennon.

static map
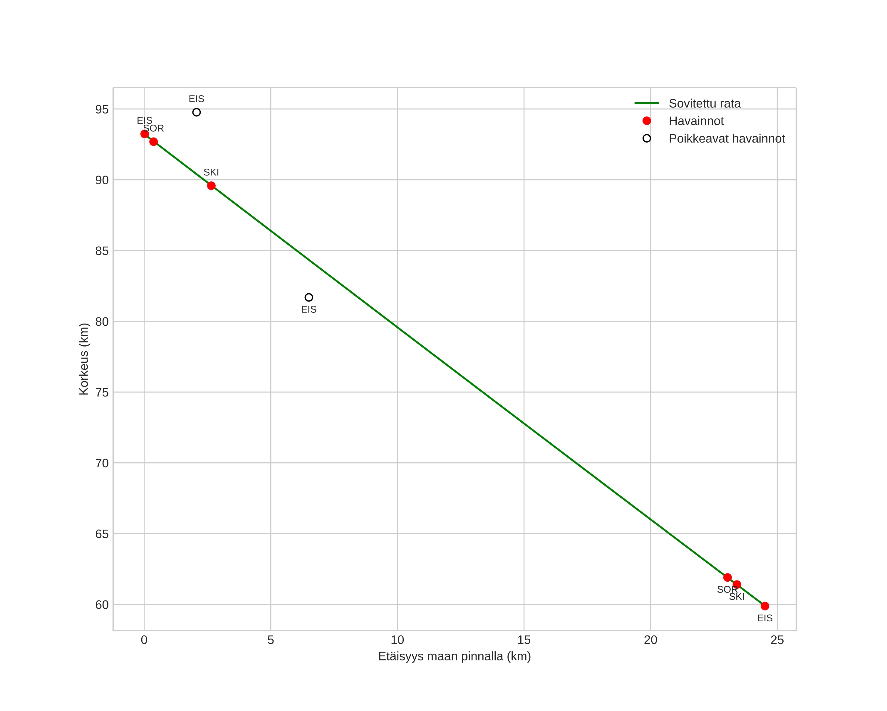
height profile
Meteorin ilmakehärata:
Alkukorkeus: 98,1 km
Loppukorkeus: 58,7 km
Alkupiste: 67,046N 18,098E
Loppupiste: 67,226N 17,604E
Suunta: 313,5°
Kallistuskulma: 53,4°
Tulonopeus: 33,5 km/s
Radiantin R,A,: 07:49 (117,3°)
Radiantin Dekl,: 34,4°
Meteoriparvi: Geminidit
Meteoroidin rataelementit:
Perihelietäisyys: 0,157 AU
Eksentrisyys: 0,853
Inklinaatio: 26,0°
Nousevan solmun pituus: 262,4°
Perihelin argumentti: 325,6°
Keskianomalia: 324,2°
Epookki: 2023 DEC 14 22:56:45
orbit plot

Ei-interaktiivinen kuvaaja | Interaktiivinen kuvaaja

position vs time
speed and acceleration