🇳🇴 🇬🇧 🇩🇪 🇨🇿 🇫🇮

Meteor, poloha: Ramberg 2023-12-14 23:26:21 UTC

Soubor KML  |  InteraktivnĂ­ mapa

Mapa zobrazuje dráhy meteoru. Světlejší čáry ukazují směry od pozorovacích stanic při objevení se meteoru a tmavší čáry, kde byl naposledy viděn. Modrá šipka značí viditelnou dráhu meteoru.

static map
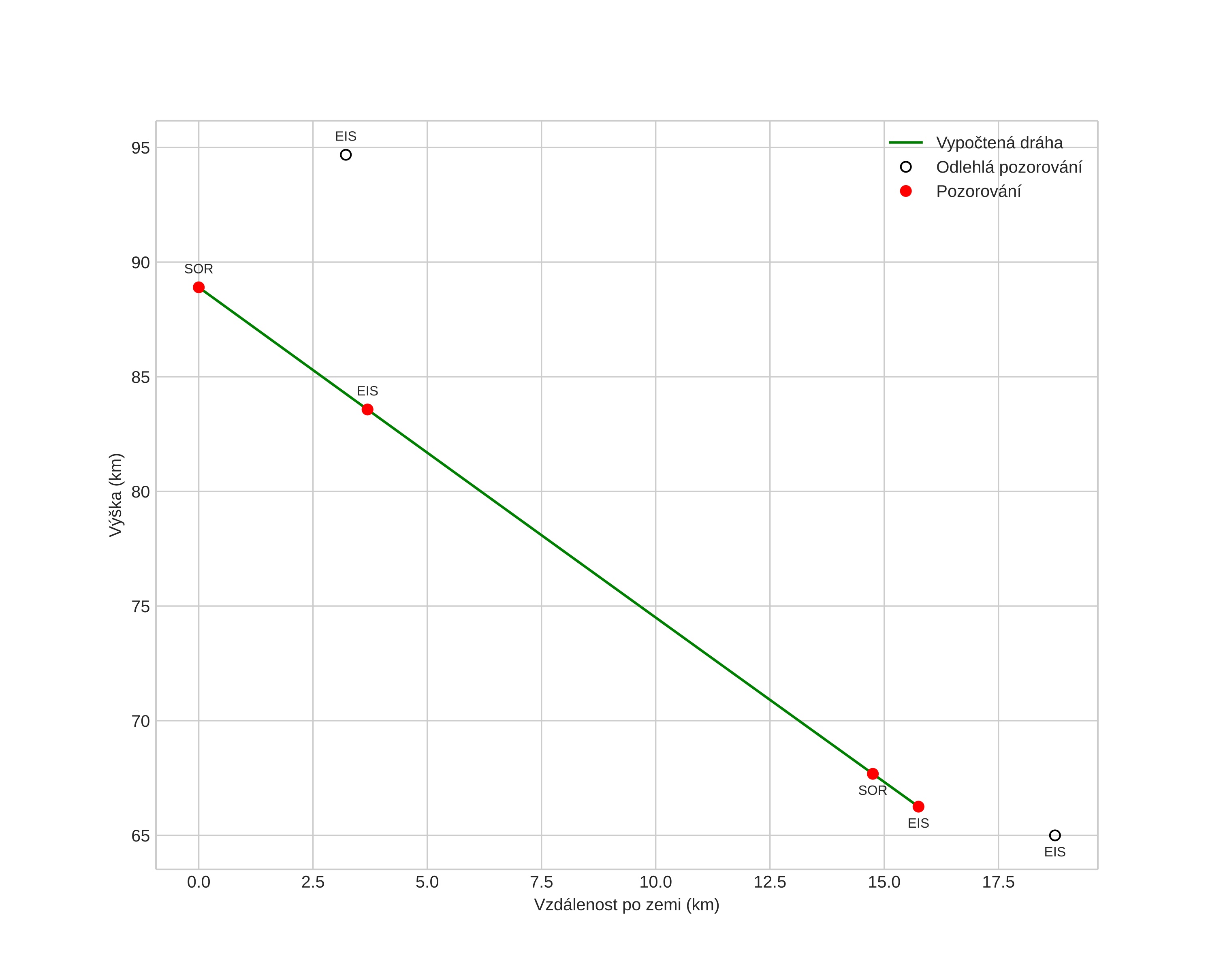
height profile
Atmosférická dráha meteoru:
Počáteční výška: 93,8 km
Konečná výška: 57,4 km
Počáteční poloha: 68,631N 13,124E
Konečná poloha: 68,841N 12,881E
Směr: 337,3°
Sklon: 55,2°
VstupnĂ­ rychlost: 33,1 km/s
Rektascenze radiantu: 06:52 (103,0°)
Deklinace radiantu: 33,9°
MeteorickĂ˝ roj: Geminidy
Elementy dráhy meteoroidu:
Vzdálenost v periheliu: 0,269 AU
Excentricita: 0,849
Sklon dráhy: 16,1°
Délka vzestupného uzlu: 262,4°
Argument perihelia: 305,6°
Střední anomálie: 343,2°
Epocha: 2023 DEC 14 23:26:21
orbit plot

NeinteraktivnĂ­ graf | InteraktivnĂ­ graf

position vs time
speed and acceleration