🇳🇴 🇬🇧 🇩🇪 🇨🇿 🇫🇮

Meteor Rambergin yllä 2023-12-14 23:26:21 UTC

KML-tiedosto  |  Interaktiivinen kartta

Kartta näyttää meteorin suuntahavainnot. Vaaleammat viivat näyttävät suunnat havaintoasemilta meteorin ilmestyessä, ja tummemmat viivat näyttävät, missä se viimeksi nähtiin. Sininen nuoli näyttää meteorin näkyvän lennon.

static map
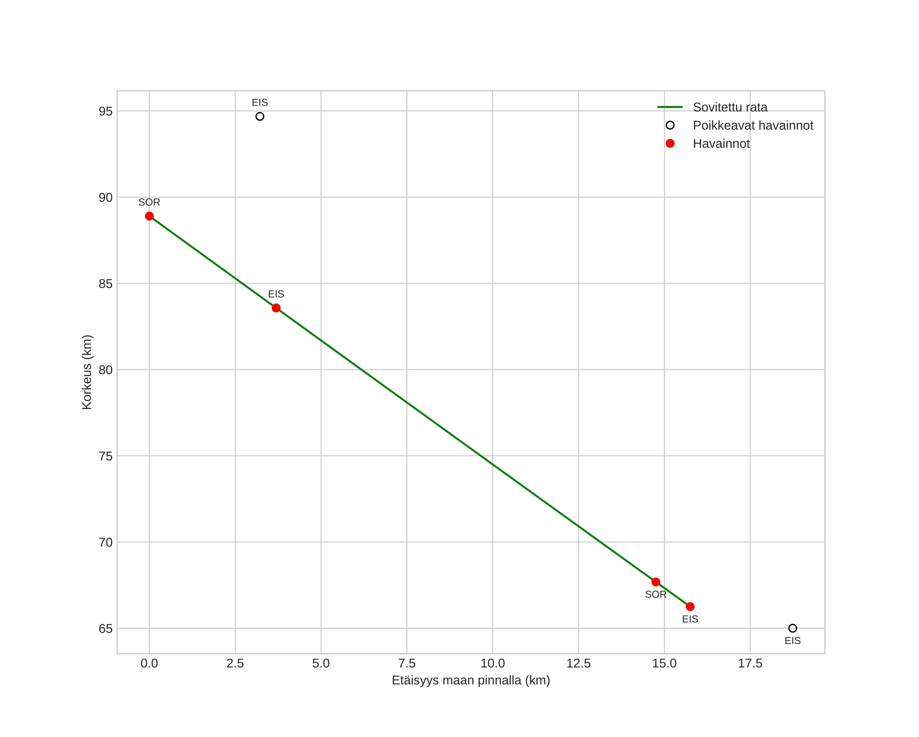
height profile
Meteorin ilmakehärata:
Alkukorkeus: 93,8 km
Loppukorkeus: 57,4 km
Alkupiste: 68,631N 13,124E
Loppupiste: 68,841N 12,881E
Suunta: 337,3°
Kallistuskulma: 55,2°
Tulonopeus: 33,1 km/s
Radiantin R,A,: 06:52 (103,0°)
Radiantin Dekl,: 33,9°
Meteoriparvi: Geminidit
Meteoroidin rataelementit:
Perihelietäisyys: 0,269 AU
Eksentrisyys: 0,849
Inklinaatio: 16,1°
Nousevan solmun pituus: 262,4°
Perihelin argumentti: 305,6°
Keskianomalia: 343,2°
Epookki: 2023 DEC 14 23:26:21
orbit plot

Ei-interaktiivinen kuvaaja | Interaktiivinen kuvaaja

position vs time
speed and acceleration